剰余の定理・因数定理とは?整式同士の割り算を具体例で分かりやすく紹介
今回は、剰余の定理や因数定理について解説します。
それにあたって整式の扱い方も勉強していきましょう。
余剰の定理と聞くと難しく感じるかもしれませんが、1つずつしっかりとステップを踏んでいけばスムーズに解けるはずです。
剰余の定理・因数分解は定期テストはもちろんのこと、大学入試でも出題される分野の1つです。
そのため、理解しておきたい分野になります。
この記事で整式の扱い方から、剰余の定理・因数定理について学習していきましょう。
整式の意味と整式同士の割り算
ではまず整式からみていきましょう。
整式とは単項式と多項式のことを意味しています。
単項式は数や文字の積だけで表す式であり、例として4xyなどが挙げられます。
同様に1、xといった文字や数だけのものも単項式に含まれます。
反対に多項式とは単項式の和で表す式のことです。
式を文字、数、それらの積で表しているものが該当します。
しかし、2bなどは、単項式には該当しません。
単項式と多項式は異なるものですが、高校数学の定義ではどちらもまとめたものが整式です。
-

整式というグループの中に単項式と多項式があると想像すれば分かりやすいでしょう。
次に整式同士の割り算をしていく上で、整式について理解していないと解けません。
そのため、ここでまず整式への理解をしっかりとしましょう。
次に整式同士の割り算について行っています。
今までの数同士の割り算ではなく、整式の割り算をしてみます。
基本的には今までと同じ考え方でおこなっていくため、特別難しいことはありません。
それでは実際に整式同士の割り算についてみてみましょう。
整式同士の割り算の方法
先でも述べましたが今までは数同士の割り算でした。

具体的には次のような式です。
20÷6=3・・・2
しかし、数同士の割り算だけではなく、整式同士の割り算も可能です。
やり方は普通の数同士の割り算と同じように筆算を使用しておこないます。
例えば次の式の場合で考えてみましょう。

x2+4x+5
画像の通り、数のときと同じように、筆算をします。
左側の式にかけて、その掛けた結果の一番次数の高いところが、ここと全く同じようになるものを探しましょう。
同じになるものが見つかったら、それを上のところに1個書きます。
文字を書いた後、掛け算した結果をその下に書きます。
そして、普段の筆算と同じように上から下を計算していけばよいのです。
一番左側に書いてる文字と数を消していくように、上のところに数を書いていきます。
本来ならばこれ以上書くことができなくなったらストップしますが、この場合は出てきた次数が割る数よりも低くなったら計算をおしまいにします。
次数が低いものを掛け算してもつくることはできないからです。
x2+4x+5を商、15があまりになります。
このように整式同士の割り算の筆算は可能です。
整式の割り算の式変形
ここでは先ほどの20÷6=3・・・2の式変形をして計算をしてみましょう。

20÷6=3・・・2の式は次のように式変形が可能です。
20=3×6+2
以上のようにあまりの2を足し算の形にすることができます。
これは整式の割り算でも同様に可能です。
たとえば次のようにできます。
(x3+2x2-3x+5)÷(x-2)=x2+4x+5・・・15
↓
x3+2x2-3x+5=(x2-3x+5)×(x-2)+15
ここで習った整式の割り算の式変形を次の項目で行ってみましょう。
具体例
ではここでは、学んだことをもとに練習問題を解いてみましょう。
筆算で式の割り算をした後に、割られる数=割る数×商+余りという形で表してみます。
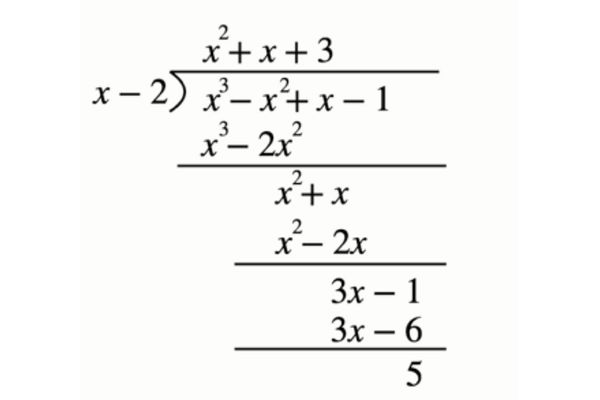
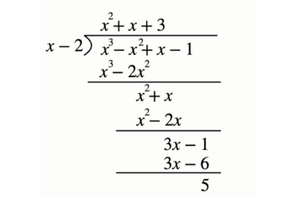
練習問題➡x3-x2+x-1をx-2で割り算せよ
答えは次のとおりです。

先にも説明したとおり、一番左側にあるものを消していくイメージで上に書いていきましょう。
そして出て結果を使うとこの答えになります。
x3-x2+x-1=(x2-2)(x+x+3)+5
ここまでできたら、次のようなことも可能です。

整式P(x)を1次式x-aで割ったときの商をQ(x)とし、余りをRとする(Rは定数)
P(x)=x3-x2+x-1をx-2で割ったときの商は、Q(x)=x2+x+3で、余りがR=5)
P(x)÷(x-a)=Q(x)・・・R
先ほどと同じように割られる数=と表すと次のようになります。
P(x)=(x-a)Q(x)+R
この式は=で繋がれているので、このxに全て同じ数字を入れることができます。
何を入れても成り立つはずです。

例えばx=aを代入してみましょう。
そうすると次になります。
P(a)=(a-a)Q(a)+R
P(a)=0×Q(a)+R
P(a)=+R
P(a)=R
CHECK
- 整式の割り算は今までの割り算と同じ方法
- 整式同士の割り算では出てきた次数が割る数よりも低くなったら計算をおしまいにする
- 整式同士の割り算の筆算は可能
剰余の定理
剰余の定理は、多項式を一次式で割ったときの余りをすぐに求めることができます。
しかし、剰余の定理はごちゃごちゃしていてよくわからない、証明もややこしくてよくわからないという方も多いでしょう。
この項目では剰余の定理の概念から、剰余の定理の証明、具体例を交えて説明していきます。
剰余の定理がわからない方はここでしっかりと抑えていきましょう。
余の定理とは
剰余の定理とは多項式を一次式で割ったときの余りをすぐに求めることができるものです。
剰余の定理を使用することにより、項の数が多く複雑に見える整式のあまりもすぐに求めることができます。
剰余とは余りを意味しています。
-

整式同士の割り算では割り切ることが難しいため、剰余の定理を使用するのです。
次の項目では剰余の定理の証明についておこなっていきましょう。
剰余の定理の証明
整式の割り算の具体例でおこなった問題を基に、剰余定理の証明をしてみましょう。
P(a)=(a-a)Q(a)+R
P(a)=0×Q(a)+R
P(a)=+R
P(a)=R
右側の式はx=-aというところがあり、そこにaを入れてみましょう。
そうすると、0×商の部分はすべて消えてしまいます。
残るのは余りだけです。
どんな式をx−aで割っても成り立つはずです。
もともと割られる数のxにaを代入するとつぎのように余りが出てきます。
整式P(x)を1次式x-aで割ったときの余りはP(a)
x−aで割ったときのあまりを計算する際、先に紹介した整式の割り算を使用してあまりを求めるだけではなく、もともとの式にaを代入すればいきなり余りを求めることができます。
これを剰余といいます。
具体例
剰余の定理の証明の具体例をみてみます。
たとえば次の整式をx−2 で割ったときの余りを考えてみましょう。

(x3+2x2−3x+5)÷(x−2)
以下が結果です。
(x3+2x2−3x+5)÷(x−2)=x2+4x+5・・・15
先ほどいったように、ここの式を変形すると次になります。
(x+2x2−3x+5)÷(x2+4x+5)(x−2)+15

この式の両辺のxに2を代入すると次になります。
23+2×22−3×2+5=(22+4×2+5)×(2−2)+15
元の式に2を代入しただけで計算してみても、余りとなります。
剰余の定義を使用すると、余りを求めるのが非常に簡単になります。
CHECK
- 剰余の定理は、多項式を一次式で割ったときの余りをすぐに求めることができる
- 剰余の定理を使用することにより、項の数が多く複雑に見える整式のあまりもすぐに求めることができる
因数定理
因数定理は整式の割り算において成り立つ定理のことですが、苦手な方も多いのではないでしょうか?
確かに因数定理には条件があったり、定理を覚えたりと大変なこともあるかと思います。
しかし、今回の単元では必要項目です。
一緒にしっかりと理解をしていきましょう。
因数定理とは
因数定理とは次のようなものです。
整式P(x)が(x-a)を因数に持つP(a)=0
因数定理は必要十分条件になっていなければなりません。
P(a)=0であれば整式P(x)は(x-a)を因数に持つ
整式P(x)が(x−a)を因数にもつ→P(a)=0となる
つまり整式P(x)が(x-a)で割り切れる条件はP(a)=0
どちらも成り立つものです。
具体例①
余りが出たものの、もしもあまりが0だった場合はどうなるでしょうか。
例えばこの場合を紹介します。

x3+2x2−3x+5=(x−a)×商+0
右辺は掛け算の形になっているため、因数分解の形になります。
つまり、元の式を割り算して余りが0になるような場合、因数分解できるということです。
この考え方を逆手に取ってみましょう。
x−aで割って出てきた余りが、もともとの式のxにaを代入したものと等しい場合、もしももともとの式のxに何かを代入してその答えが0になるのであれば、x−bで割ったとき余りが0になるということです。
このように、剰余の定理で余りが0になるようなxの値を見つければ因数分解ができるのです。
具体例②
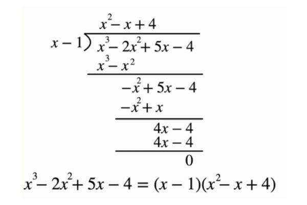
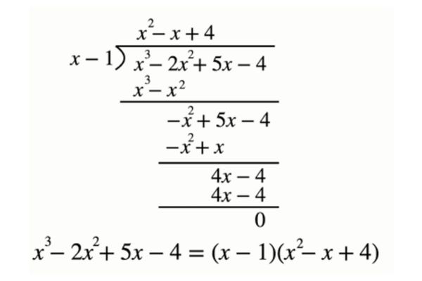
具体例2として、たとえば次の式にxに1を代入してみましょう。
x−2x+5x-4
そうすると次になります。

13−2×12+5×1−4=0
左辺は整式のxに1を代入した式です。
0は整式をx−1で割った余りです。
x3−2x2+5x-4=(x−1)×?
答えが0になります。
ということは因数定理を使用してx−1で割ると余りが0になります。

残りの部分である(x−1)×?というのを求めるには、元の式を(x−1)で割り算すればいいだけです。
因数分解をした結果は次のとおりです。
x3−2x2+5x-4=(x−1)×(x 2 −x+4)
因数定理を使って因数分解をするのは難しい方程式を解くときに非常に有効的です。
剰余の定理と因数定理の関係
因数定理はもしもあまりが0になった場合、その整式を(x−a)で因数分解できる整式の性質のことです。
つまり、剰余の定理の余りが0の場合に因数定理が出現します。
因数定理自体はさまざまなところで使われるものの、整式の因数分解の際により多く使われます。
注意点として、因数定理は剰余の定理なしにできるものではありません。
CHECK
- 因数定理は必要十分条件になっていなければならない
- 剰余の定理で余りが0になるようなxの値を見つければ因数分解ができる
- 因数定理を使って因数分解をするのは難しい方程式を解くときに非常に有効的
数学を勉強できるおすすめの塾
ここまで剰余の定理・因数定理について解説したものの、それでも難しいと感じる方は多いでしょう。
とはいえ、学校に聞いてもわからないと悩んでいる方もいるのではないでしょうか?
そんなあなたにおすすめの塾をご紹介いたします。
個別教室のトライ

| 個別教室のトライの基本情報 | |
|---|---|
| 対象 | 幼児・小学生・中学生・高校生 |
| 指導形態 | 1対1のマンツーマン指導 |
| 対象地域 | 全国 |
そんなときにおすすめなのが個別教室のトライです。
個別教室のトライでは、一人ひとりに合わせた学習方法が特徴です。
ここでは個別教室のトライの特徴を紹介します。
得点力向上のための学習システム
個別教室のトライでは、得点力向上のための学習システムを導入しています。
120万人の導入実績から生まれた独自の学習方法で、効率よく成績を上げていきます。
実際に、これまで多くの子どもたちを志望校合格、目標達成に導いてきました。
マンツーマンならではの学習法から生活習慣の改善、受験に向けたアドバイスをおこないます。
これにより、お子さまの能力を最大限引き出すことが可能です。
一人ひとりの生徒に合わせた学習システムであるため、今までの方法では勉強が分からなかった子どもでもスムーズに理解できるようになるでしょう。
徹底的に苦手、弱点克服をしていきます。
オーダーメイドカリキュラムの作成も魅力
個別教室のトライは、お子さまの目標や希望に合わせて柔軟にサポートを致します。
その実現として、オーダーメイドカリキュラムの作成をおこなっています。
オーダーメイドカリキュラムでは、志望校や学校内のテスト、勉強時間などを考慮して、勉強計画を立てます。
既に決められたカリキュラムではなく、一人ひとりの状況に合わせたカリキュラムであるため、無駄なく効率よく学習が可能です。
先ほど紹介した学習システムとオーダーメイドカリキュラムの作成で、今までにない勉強効率を実現します。
CHECK
- 得点力向上のための学習システムを導入している
- お子さまの目標や希望に合わせて柔軟にサポートが可能
高校数学克服塾MeTa
数学を勉強するなら「高校数学克服塾MeTa」がおすすめです。
高校数学の専門塾なので、数学に関して「わからない」と疑問を抱いている方におすすめの塾です。
また、オンライン形式なので自宅からでも受けやすく家での学習習慣が身に着けられます。
そんな「高校数学克服塾MeTa」の特徴をご紹介します。
| 高校数学克服塾MeTaの基本情報 | |
|---|---|
| 対象 | 高校生、浪人生、高校数学を教わっている中学三年生 |
| 授業形式 | 1対1のオンライン個別指導 |
| 校舎 | オンラインのみ |
| 特徴 | 高校数学克服のための数学専門オンライン塾 |
なぜおすすめなのか、その理由を3つご紹介します。
対話を第一に考えた指導
「高校数学克服塾MeTa」では、古代ギリシアの哲学者であるソクラテスが実施した手法を現代の教育に応用しています。
数学の克服には、単に問題の解き方を解説をして暗記するだけではなく、対話を通して生徒の考えを聞くことから初め、十分理解した上で指導を始めます。
制との考えを知るために、対話以外のノートや質問から情報を集め観察し、指導を進めていくことで表面的な解決暗記でなく数学を根本から理解することができます。
1対1のマンツーマン形式
「高校数学克服塾MeTa」では、生徒との対話を第一に考えているため講師1名が生徒1名を担当するマンツーマン形式で授業を進めていきます。
マンツーマン形式だからこそわからないところがあればその場で質問ができたり、数学塾Metaの公式LINEを通じていつでも質問ができるため数学の勉強に取り組むことができます。
数学に対する疑問をすぐ解決することでストレスを失くし、数学克服を目指します。
また、生徒によって苦手な原因や考え方の癖が異なるため、担当制にし1人1人の考え方に向き合い続け、確実に数学の克服まで導きます。
やる気アップのための学習計画表の設定
「高校数学克服塾MeTa」は、生徒のやる気を引き出すために月に1回学習計画表を作成します。
どのように授業を進めていくか、目標はどうするかなど講師と親身になって作成していきます。
そうすることで、生徒自身が意欲的に取り組んで学習することを目的とします。
また、コースによっては数学以外の学習計画表も作成できるため、気になった方は無料体験の際に説明してもらえます。
CHECK
- 数学専門教育で論理的思考力も向上できる
- 1人1人に合わせた学習カリキュラムで数学の克服を目指す
まとめ
この記事では剰余の定理・因数定理について解説しました。
剰余の定理・因数定理は、どちらも関係が深いものです。
そのため、どちらの理解も必要不可欠です。
【初心者でもわかる】この記事のまとめ
「剰余の定理」に関してよくある質問を集めました。
剰余の定理とはなんですか?
剰余の定理とは多項式を一次式で割ったときの余りをすぐに求めることができるものです。剰余の定理を使用することによって、項の数が多く複雑に見える整式のあまりもすぐに求めることができます。割り切ることが難しい整式同士の割り算でも、剰余の定理を使用することによって解くことができます。剰余の定理の詳細はこちらを参考にしてください。
剰余の定理と因数定理はどのような関係ですか?
因数定理はもしもあまりが0になった場合、その整式を(x−a)で因数分解できる整式の性質のことを指します。つまり、剰余の定理の余りが0の場合に因数定理が使われます。因数定理自体はさまざまなところで使われるものの、整式の因数分解の際により多く使われるものです。ただし注意点として、因数定理は剰余の定理なしにできるものではありません。剰余の定理と因数定理についてはこちらを参考にしてください。
StudySearchでは、塾・予備校・家庭教師探しをテーマに塾の探し方や勉強方法について情報発信をしています。
StudySearch編集部が企画・執筆した他の記事はこちら→
塾・予備校に関する新着コラム
-
東進オンライン学校の料金・費用や口コミ・評判を徹底解説|...東進オンライン学校の料金や費用体系、口コミ・評判を最新情報で徹底解説します。入会金不要で高品質な授業を受けられる特徴から、学年別のコース内容、入会方法まで詳しく...
-
RK Englishとは?料金や口コミ・特徴や魅力を徹底...本記事では、RK Englishの料金・口コミを徹底解説しています。さらに、元巨人軍リチャード氏による指導の魅力や独自メソッド「Radar」、学習環境まで詳しく...
-
家庭教師のLEAPとは?気になる料金や口コミ・特徴を徹底...本記事では、家庭教師のLEAPの気になる料金や口コミを徹底解説しています。また、特徴や選ばれるポイントなどもご紹介していますので、利用を検討している方は是非参考...
-
オンライン数学専門塾ReKai(リカイ)とは?料金や特徴...本記事では、オンライン数学専門塾ReKaiの気になる料金や特徴について解説しています。オンライン数学専門塾ReKaiが向いている人の特徴や数学が得意になる秘密ま...
塾・予備校に関する人気のコラム
-
【2026年最新版】料金(授業料/月謝)が安い塾ランキン...「塾に行きたいけど料金が気になる」「なるべく安く勉強を教えてほしい」そんな悩みをお持ちのご家庭は多いと思います。今回は料金が安い、かつ評判が高い塾を紹介します。
-
【2026年最新版】塾の費用|平均費用(料金)や月謝や教...学習塾にかかる費用を個別指導、集団指導それぞれ平均費用や、月謝相場、季節講習、などについて徹底解説!小学生や中学生や高校生の塾をお探しの方は是非参考にして下さい...
-
【2026年】予備校の年間の費用(授業料・入学金)は?浪...予備校には1年でどれくらいの費用がかかるのでしょうか。今回は、予備校や塾の料金の相場について詳しく説明していきます。受験を控えた浪人生、現役生の方は必見です!
-
個別教室のトライ|実際の授業料や料金を調査!口コミやコー...今回は個別指導のトライの料金(授業料・月謝)や評判・口コミ、トライが選ばれている理由。知らないと損な期間限定のキャンペーンや講習会の情報、講師や教材まで詳しく紹...
