漸化式の応用の一般項を解く方法!複雑な数列と解き方を徹底解説
ここでは、漸化式の応用について解説します。
紹介する問題は、
それぞれ、解き方の順序があります。
今回は、漸化式や数列の基本的な公式に立ち返りつつ、応用問題の解法を細かく解説するため、数列の内容の総合的な理解力が求められます。
もし、今回の範囲がどうしてもわからない場合は、数列の基本についての記事を復習し、基礎を理解し直しましょう。
おすすめの問題集や学習塾も併せて紹介しているので、ぜひ、数学の勉強の参考にしてください。
右辺が分数かつ分子の項が1つのパターン

今回も、前回と同様に難しい漸化式の問題を解説しましょう。
前回勉強したとおり、難しい漸化式は初手をどうするかによって、解けるかどうかが決まります。
漸化式と一口に言っても、さまざまな種類がありました。
どのタイプに該当するかを見極めて、それに対する初手を覚えれば問題が解けるようになります。
ここで紹介する難しい漸化式はこちらです。
問題)a1=1/5 an+1=an/3an+2(n=1,2,3・・・)で定められた数列{an}の一般項を求めよ。
現段階でわかることは数列{an}の初項が1/5で、左辺が変わらず「an+1」と記されている点です。
しかし、右辺はan/3an+2と分数になっています。
分数の漸化式の求め方も何通りかありますが、このように右辺が分数で分子は項が1つであるパターンの解き方を見ていきましょう。
両辺の逆数をとる
問題を見てみると、分子には「an」が置かれています。
この場合まずは両辺の逆数をとることが大切です。
逆数とは、例えば「2」であれば「1/2」、「2/3」であれば「3/2」と分子および分母の入れ替えを指します。
では、an+1=an/3an+2の漸化式の両辺をそれぞれ分子と分母を入れ替えてみましょう。
すると、「1/an+1=(3an+2)/an」と式が作られるはずです。
ここで、右辺の「(3an+2)/an」を少し変形します。
「(3an+2)/an」は、「3an/an+2/an」と書き換えることが可能です。
3an/anは分子と分母ともに「an」があるため約分します。
結果、整数3と形を変えることができました。
最終的に「1/an+1=2/an+3」とまとめられます。
-

ここで、重要なポイントは初手をとったあとは、必ず他の数列に置き換えることです。
この作業をするだけで、後々の計算が極めて楽になります。
1/anをbnと置き換えて計算する
前回も、数列{an}の文字数anの項を「bn」に置き換えて計算しました。
今回も、全く同じ方法で漸化式を求めていきます。
この問題におけるanの項は「1/an+1=2/an」です。
つまり、「bn=1/an」に置き換えて計算を進めます。
まず、「bn+1=」の形に直した式が「bn+1=2bn+3」です。
念のため、それぞれを細かく確認しましょう。
「1/an」はすべて「bn」と同じ意味を指すため、「1/an+1=2/an+3」の左辺はそのまま「bn」と置きます。
右辺の「2/an」は、考え方を変えると「2×1/an」です。
そのため、「2bn」とまとめられます。
落ち着いて計算すれば、考え方自体はそこまで難しくないはずです。
また、数列{an}の初項a1の値は「1/5」でした。
「bn=1/an」であるため、b1の初項を求めるときはa1の逆数をとります。
要するに、「b1=1/a1=5」です。
ここまで計算すると、前回と同じ「an+1=pan+q」の漸化式になることが分かります。

bnとbn+1の値を「X」に置き換え、1次方程式を解くだけで簡単に解を導き出せます。
1/anをbnで表した式は、「bn+1=2bn+3」でした。
ここからさらにbnとbn+1の値を「x」に変えると、「X=2X+3」となります。
方程式を計算して求めた解は「X=-3」です。
あとは、算出した「-3」をそれぞれの「X」に代入します。
それを「bn+1=2bn+3」の式と引き算するだけです。
左辺は「bn+1-(-3)」、右辺は「2bn+3-(-3)」となります。
各々を計算すると、「bn+1+3=2bn+6」と式を作ることができました。
ちなみに右辺の「2bn+6」は因数分解して、「2(bn+3)」と表記したほうが望ましいです。

bn+3をCnと置き換えて計算する
「bn」の形に直した漸化式は、「bn+1+3=2(bn+3)」でした。
つづいて、「bn+3」を異なる文字数に変えて計算し直します。
前回と同様に「bn+3=cn」と仮定して計算を進めましょう。
すると、「cn+1=2cn」と新たに式が完成します。
「cn+1=2cn」は、基本数列の漸化式です。
この式を見れば、公比2の等比数列であることがわかります。
初項の求め方は、「c1=b1+3」を解くだけです。
「b1」は先程「5」と計算しました。
したがって、「c1=b1+3」の式に代入すれば「c1=5+3」となり、初項が「8」と求められます。
これで、初項と公比の値を算出できました。
あとは、等比数列の公式である「cn=c1・rn-1」に当てはめて一般項を出します。
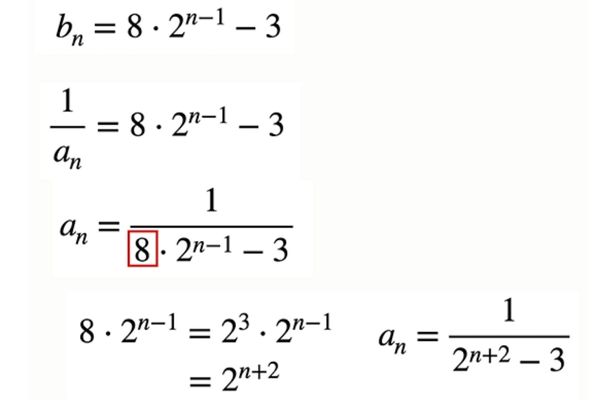
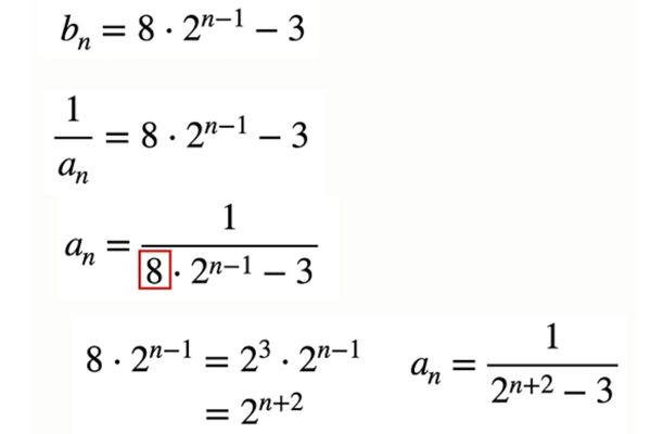
結果、「cn=8・2n-1」と求められました。

cnは「bn+3」とイコールでした。
つまり、bnの値はcnから3を引けば導き出せます。
そのため、「bn=8・2n-1-3」です。
最後に、問題文の目的でもあった「an」の一般項を求めましょう。
難しい計算は必要ありません。
「bn」の値は、「an」の逆数と同じでした。
「1/an=bn」となるため、「bn=8・2n-1-3」を逆数にして表記します。
つまり「an=1/(8・2n-1-3)」と一般項が出せるはずです。
さらに、「8・2n-1-3」を指数法則でまとめます。
「8」は「23」とも表記可能です。
この形にすれば「2n-1-3」にまとめられるため、よりすっきりした答えになります。
「23・2n-1」を計算すると、「2n+2」です。
整理した結果、数列{an}の一般項は「an=1/(2n+2-3)」となりました。

CHECK
- 初手をどのように計算するかを重視する
- 両辺の逆数をとる
- bnやcnなどと置き換えながら計算をしやすくする
定数項が式になっているパターン

つづいて、前題とはまた違ったパターンについて紹介しましょう。
ここで、出されている問題は以下のとおりです。
問題)a1=5,an+1=2an-3n+4(n=1,2,3・・・)で定められた数列{an}の一般項を求めよ。
先程と同じく、まずは漸化式の特徴をしっかりと掴みます。
左辺については、特に前問と大きな違いはありません。
しかし、右辺をみてみると「2an-3n+4」と定数項が式になっています。
では、この場合はどのように初手をとればいいのでしょうか。
この問題も、漸化式のパターンとしてすでに解き方が定められています。
-

右辺が定数項ではなく、nを使った式になっている場合は、初手として「nをn+1に置き換えた式」を作ります。
実際に、計算しながら解き方を押さえましょう。
n+1をnに置き換えた式を作る
この問題において、「nをn+1に置き換えた式」は次のように作ることができます。
元々の問題にあった漸化式は、「an+1=2an-3n+4」でした。
こちらの式で「nをn+1に置き換えた式」へ直します。
つまり、それぞれの項にnを加えればいいだけです。
すると、式は「an+2=2an+1-3(n+1)+4」となります。
定数項nを消すために、今作った式から元々の式を引き算してみましょう。
作られる式は「an+2-an+1=2an+1-3(n+1)+4-(2an-3n+4)」です。
計算した結果、「an+2-an+1=2(an+1-an)-3」と求めることができました。

ここからの計算は前回の話や先ほど解いた問題と大きな違いはありません。
計算しづらい部分をある文字に置き換え、整理しながら一般項を出しましょう。
この問題では、右辺の(an+1-an)を「bn」と仮定して解き進めます。
bn=an+1-anの式をおいて計算する
「an+2-an+1=2(an+1-an)-3」の「(an+1-an)」を「bn」に直してみましょう。
まずは「bn+1=2bn-3」と式を作り変えられるはずです。
左辺がわかりづらいかもしれませんが、「an+2-an+1」は「an+1-an」のnをそれぞれ+1したものです。
そのため、「an+2-an+1」を「bn+1」に置き換えましょう。
この形に直せば、漸化式の計算でおなじみの「an+1=pan+q」の形に直せます。
こうした一連の計算は、漸化式のよくあるパターンへ落とし込むためのプロセスです。
あとは、「bn+1」と「bn」をそれぞれ「X」と違う文字に直します。
こちらも、先ほどの問題と解き方は全く変わりません。
「bn+1=2bn-3」が作り直した式であるため、「X」に置き換えると「X=2X-3」の一次方程式が完成します。
「X」の値は「3」です。

これを「bn+1=2bn-3」の左辺と右辺に引き算します。
すると、「bn+1-3=2bn-3-3」と表せるはずです。
右辺は「2bn-6」となり「2(bn-3)」と整理できます。
最終的に、「bn+1-3=2(bn-3)」とまとめることができました。
あとは、先ほどの問題と同様に「2(bn-3)」の式をさらに置き換えて解いていくだけです。
問題を繰り返し、一連の作業がスムーズにできるよう練習しましょう。
cn=bn-3とおいて計算する
「bn+1-3=2(bn-3)」において、「(bn-3)」を「cn」と仮定して計算を続けます。
式を整理すると、「cn+1=2cn」となりました。
まずは、数列{cn}の初項と公比を求めていかなければなりません。
とはいえ、こちらも基本的な考え方は前述の問題と全く同じです。
定数項がない数列{cn}は、等比数列だと見ただけで判断できます。
あとは、等比数列の一般項を求めるため、「cn=c1・rn-1」の公式を上手く使うだけです。
まず、公比については係数を見ればすぐにわかります。
「cn+1=2cn」とあることから、公比は「2」です。
つづいて、初項も解き進めていきましょう。
cnは「bn-3」を置き換えたものです。
つまり、「c1=b1-3」と初項を求める式が作られます。
ここで、「b1」を求めるときにはどのような計算が必要か確かめなければなりません。
そもそも、「bn」は「an+1-an」を置き換えたものでした。
つまり、「b1」と初項を求める場合は、nに1を代入するため「a2-a1」の計算式となります。
では、漸化式の「an+1=2an-3n+4」を使って「a2」の値を求めましょう。
「a2」の値は「n=1」を代入して算出します。
すると、「a2=2a1-3+4」と式が作れるはずです。
あとは、問題文を参考にして答えを出します。
「a2=2×5-3+4」となり、「a2」は11、したがって「a2-a1」は「11-5」となり、「b1」は6と求められます。
結果的に「c1」は3と解が出ます。
以上を等比数列の公式に当てはめると、初項3と公比2である「cn」の一般項は「cn=3・2n-1」です。
「bn=cn+3」であるため「bn=3・2n-1+3」、「bn=an+1-an」なので「an+1-an=3・2n-1+3」と書き換えられます。
ここで、式を「an+1=an+3・2n-1+3」と変形しましょう。
すると、基本数列の漸化式になることがわかるはずです。
あとは、漸化式の一般項を導き出します。
使う公式は、「an=a1+Σn-1k=1bk」です。
「an+1=an+3・2n-1+3」を当てはめた式は、「an=5+Σn-1k=1(3・2n-1+3)」となります。
Σn-1k=1(3・2n-1+3)は、それぞれ公式で表すと「Σn-1k=1(3・2n-1)=3(2n-1-1)/2-1」、「Σn-1k=1(3)=3(n-1)」です。
全てまとめると「an=5+{3(2n-1-1)/(2-1)}+3(n-1)」と計算できます。
最終的な答えは、「3・2n-1+3n-1」です。

CHECK
- n+1をnに置き換えた式を作る
- bnやcnなどを使って計算しやすくする
- 基本数列の漸化式「an=a1+Σn-1k=1bk」を使って一般項を求める
漸化式の応用のおすすめな参考書・勉強法

漸化式の応用を勉強するうえで、おすすめの勉強法は、問題を解く順番に気をつけることです。
応用問題であるため、どの内容も難しく感じるかもしれません。
まずは、1問だけ難問を解いてみましょう。
とりあえず、できるところまで進めてみてください。
-

もし、わからない箇所が出てきたら迷わず答えを見るほうが賢明です。
応用問題はでは、解くためのポイントをいかに自分で見つけられるかが大切です。
漸化式の応用問題を正解するには、パターンや公式などの基本を押さえておく必要があります。
序盤で手が止まるようであれば、一度基本問題に戻りましょう。
さまざまな範囲を網羅的に学習することがコツです。
また、答えを確認しながら解答例の意図を掴むやり方も効率良いといえます。
コツコツと問題に取り組みつつ、解き方を筋道立てながら理解しましょう。
問題集の範囲
漸化式の応用を勉強するうえで、おすすめの問題集と範囲は以下のとおりです。
- 青チャート 【第3章数列】 15 漸化式と数列 16 種々の漸化式
- サクシード 【第3章数列】 22 漸化式と数列(1) 23 漸化式と数列(2)
- 4STEP 【第3章数列】 7 漸化式と数列
- Legend 【第6章数列】 18 漸化式と数学的帰納法
応用問題を解けるようになるには、まずは、手元にある問題を自力で完璧に解けるまで繰り返し演習しましょう。
解説も参考にしつつ、暗記ではなく理解に努めてください。
間違えやすい勉強法は、さまざまな問題集を購入してしまうことです。
特に、応用問題は数問程度しか用意されていないケースもあり、物足りなく感じる方も多いでしょう。
しかし、1問ずつ正確にマスターすることが漸化式を得意にする近道です。
基本的な考え方を押さえれば、ほかの問題も根本の部分は大して変わりません。
決して焦らず、問題集を限定して選んでください。
CHECK
- 問題を解くパターンや筋道の立て方を理解する
- わからない場合は迷わず答えを見て解き方の順序を押さえる
- 問題集は数多く揃えすぎず1問を正確にマスターする
漸化式の応用を勉強するなら「オンライン数学克服塾MeTa」

漸化式を勉強するのであれば、「オンライン数学克服塾MeTa」がおすすめです。
| 対象 | 高校生・大学生・社会人 |
|---|---|
| サービス内容 | 演習授業・1対1個別指導・LINEで指導 |
| 特徴 | 「論理的思考力」の向上で数学に対する苦手意識を克服させる |
「オンライン数学克服塾MeTa」をおすすめする理由について紹介します。
ソクラテスメソッドを使ったアプローチで理解させる
「オンライン数学克服塾MeTa」の素晴らしい特徴は、ソクラテスメソッドで論理的思考力を身につけさせる学習法です。
要するに、対話を活かして生徒の理解力アップにつなげられます。
暗記に頼るのではなく、筋道を立てる勉強法で数学を得意にしましょう。
生徒1人に対して綿密なスケジュールを作成
「オンライン数学克服塾MeTa」では、生徒1人1人に向けて綿密なスケジュールを作成しています。
細かい質問もLINEを使ってできる点が強みです。
わからないところがあったら、小さいことでも講師に確認しましょう。
高倍率をくぐり抜けた優秀な講師による授業が魅力
「オンライン数学克服塾MeTa」の講師になるには、高倍率の採用試験をクリアしなければなりません。
つまり、合格した講師は全員教え方のプロだといえます。
信頼して数学に関する悩みを相談してみましょう。
今後の勉強で必ずプラスに働きます。
CHECK
- ソクラテスメソッドによる学習法が強み
- 綿密なスケジュールを作成
- 高倍率の採用試験を突破した講師の授業が魅力
漸化式の応用を得意分野にするなら「東京個別指導学院」

漸化式を得意分野にするのであれば、「東京個別指導学院」がおすすめです。
| 対象 | 小学生・中学生・高校生 |
|---|---|
| サービス内容 | 1対1または1対2個別指導 |
| 特徴 | 解く力を身につける指導 |
「東京個別指導学院」をおすすめする理由について紹介します。
「問題が解ける」ようになることを重視
「東京個別指導学院」では、「分かったつもり」になるのではなく、きちんと「問題が解ける」ようになることを目標に指導を行っています。
授業では、問題をたくさん解いていくので、「自力で解けた」という成功体験を何回も経験することができます。
また、問題を解くときのクセや時間などを担当講師がしっかりとチェックし、アドバイスをしてくれるので、テストで点を取るためのテクニックを身につけることができるといえます。
無料のテスト対策講座を開講
「東京個別指導学院」では、定期テスト前になると、無料でテスト対策講座を開講しています。
通常授業では、定期テストの出題傾向の分析や弱点克服をメインに行っていますが、この講座では、知識の定着度を確認していきます。
通常授業では受けていない科目のテスト対策講座も受けることができるので、全体的な成績UPが見込めます。
この講座を受けることで、万全な態勢でテストに臨むことができるでしょう。
自分専用の学習計画
「東京個別指導学院」では、自分専用の学習計画に沿って学習を進めることができます。
通っている学校の学習進度や生徒自身の理解度によって、定期テストまでに求められる学力は様々であることが多いかと思います。
その点、「東京個別指導学院」は最初に生徒の理解度と目標を明確にして、目標達成のために必要な授業内容や学習量を決定した学習計画を生徒それぞれに作成していきます。
そのため、生徒は自分が本当に必要な部分の学習を集中的に行うことができるので、効率よく成績を伸ばすことができます。
CHECK
- 自力で問題を解く力を重視した指導
- 無料のテスト対策講座も用意
- 自分専用の学習計画で効率よく成績UP
まとめ

今回は、漸化式の応用について解説しました。
漸化式自体がさまざまなパターンを使って解かなければならないため、最初はつまづくこともあるかもしれません。
しかし、あくまで問題を解くときには順序立ててポイントを押さえることが求められます。
基本的な問題にも立ち返りつつ、1問をしっかりと自力で取り組めるよう練習を繰り返しましょう。
わからない問題が出てきたら、答えの解説から解法を確認することが大切です。
漸化式の応用を克服するのであれば、「オンライン数学克服塾MeTa」の利用をおすすめします。
論理的思考力は、漸化式の問題を解くうえでも欠かせません。
講師たちの手も借り、難しい問題にも対処できるよう準備しましょう。
【初心者でもわかる】この記事のまとめ
「漸化式の応用」に関してよくある質問を集めました。
右辺が分数で分子が1つのパターンはどう解きますか?
まずは、逆数をとることを忘れないでください。分数を上手く分けつつ約分すればある程度整理した状態で計算できます。あとは置き換えを適所で用いていけば、漸化式の一般項を求められます。右辺が分数で分子が1つのパターンについてはこちらを参考にしてください。
定数項が含まれている場合の解き方のコツとは?
例えば、右辺に定数項がある場合は「n+1をnに置き換えた式」を作ります。そこから、元々の漸化式を引き算する過程が必要です。このような計算をし、左辺が「an+2-an+1」の式を作ると一般項が求められやすくなります。あとは、同じように「bn」や「cn」と置き換えて解を出しましょう。定数項がある場合についてはこちらを参考にしてください。
StudySearchでは、塾・予備校・家庭教師探しをテーマに塾の探し方や勉強方法について情報発信をしています。
StudySearch編集部が企画・執筆した他の記事はこちら→
塾・予備校に関する新着コラム
-
RK Englishとは?料金や口コミ・特徴や魅力を徹底...本記事では、RK Englishの料金・口コミを徹底解説しています。さらに、元巨人軍リチャード氏による指導の魅力や独自メソッド「Radar」、学習環境まで詳しく...
-
家庭教師のLEAPとは?気になる料金や口コミ・特徴を徹底...本記事では、家庭教師のLEAPの気になる料金や口コミを徹底解説しています。また、特徴や選ばれるポイントなどもご紹介していますので、利用を検討している方は是非参考...
-
オンライン数学専門塾ReKai(リカイ)とは?料金や特徴...本記事では、オンライン数学専門塾ReKaiの気になる料金や特徴について解説しています。オンライン数学専門塾ReKaiが向いている人の特徴や数学が得意になる秘密ま...
-
オンライン英語専門塾OUTCOMEとは?料金や口コミにつ...本記事では、オンライン英語専門塾OUTCOMEの気になる料金や口コミについて解説しています。カリキュラムの特徴や入塾までの流れについても紹介しているので、利用を...
塾・予備校に関する人気のコラム
-
【2026年最新版】料金(授業料/月謝)が安い塾ランキン...「塾に行きたいけど料金が気になる」「なるべく安く勉強を教えてほしい」そんな悩みをお持ちのご家庭は多いと思います。今回は料金が安い、かつ評判が高い塾を紹介します。
-
【2026年最新版】塾の費用|平均費用(料金)や月謝や教...学習塾にかかる費用を個別指導、集団指導それぞれ平均費用や、月謝相場、季節講習、などについて徹底解説!小学生や中学生や高校生の塾をお探しの方は是非参考にして下さい...
-
【2026年】予備校の年間の費用(授業料・入学金)は?浪...予備校には1年でどれくらいの費用がかかるのでしょうか。今回は、予備校や塾の料金の相場について詳しく説明していきます。受験を控えた浪人生、現役生の方は必見です!
-
個別教室のトライ|実際の授業料や料金を調査!口コミやコー...今回は個別指導のトライの料金(授業料・月謝)や評判・口コミ、トライが選ばれている理由。知らないと損な期間限定のキャンペーンや講習会の情報、講師や教材まで詳しく紹...
