因数分解とは?解の公式を使った計算方法・練習問題を詳しく解説しています
「因数分解」は、高校の数学で最初に勉強する単元です。
中学校でも因数分解を習いますが、高校ではさらに発展的な内容を学びます。
因数分解は、高校で習う数学の基本となる部分なので、丁寧に理解していくことが大切です。
今回は、中学校で習う因数分解と方程式の復習をした後に、「たすき掛け」を使った因数分解や「解の公式」など、基礎的な計算方法について解説します。
方程式と因数分解の復習
まずは、中学校で習った「方程式」と「因数分解」の内容を振り返りましょう。
高校で習う数学の基礎となる部分なので、言葉の意味から丁寧におさらいします。
方程式の定義
「方程式」とは、等号(=)と未知数(x)が含まれる式のことです。
方程式の中で値がまだ分かっていない数値のことを「未知数」と言い、一般的に「x」で表されます。
-

「方程式」とは、等号(=)と未知数(x)が含まれる式のことです。
方程式の中で値がまだ分かっていない数値のことを「未知数」と言い、一般的に「x」で表されます。

例えば「x²+2x+1」の式には等号(=)がないため、これは方程式とは呼びません。
また、「3+4=7」の式は未知数(x)を含まないため、これもまた方程式ではありません。
それでは、「x-1=0」の式は方程式でしょうか?この式には、未知数(x)と等号(=)がどちらも含まれているため、方程式と言えます。
-

「x-1=0」の未知数(x)に当てはまる数字は、「1」です。
この「1」のように、未知数(x)に入れて式が成り立つ数字のことを「解」と言います。
また「方程式を解く」の意味とは、「解を探す」つまり「xに入れられる数字を見つける」ことです。
「x-1=0」のように単純な式であれば解くのは簡単ですが、式が複雑になると方程式を解くのは難しくなります。
後々混乱しないよう、「方程式とは何か」「解とは何か」などの根本的な定義の理解は、学習を始める最初の段階で確実に押さえておきましょう。
因数分解とは
因数分解とは、計算式をカッコ()でくくれる「掛け算の形」に変えることです。

それでは、因数分解が使われている式「(x-1)(x-2)(x-3)=0」の例を詳しく見てみましょう。
「(x-1)(x-2)(x-3)=0」は、3つの式「x-1」と「x-2」と「x-3」がすべて掛け算され、結果が「0」と表されています。
つまり、3つの式のうち、どれか一つは必ず答えが「0」となるはずです。
例えば、「x-1」の答えが「0」だったら「x-1=0」という式が作れます。
他の式も同じように考えると、「(x-1)(x-2)(x-3)=0」の式の「x」に入れても数式が成り立つ数字は、1か2か3です。
つまり、この方程式の解は、1か2か3になる、ということになります。
-

先ほどの「方程式の定義」で出てきた「x-1=0」の式より複雑な式でも、「掛け算の形の式=0」に書き表せれば、方程式は簡単に解けます。
このように、足し算や引き算が混ざった複雑な式を掛け算の形に書き表すことを「因数分解」と呼びます。
因数分解は中学校でも習いますが、高校の数学でも一番最初に勉強する基礎的な単元です。
中学校で習った一次方程式では、式中の文字や数字を移行すれば解を求めることができました。
しかし、高校で勉強する二次方程式では、因数分解ができなければ解を求められません。
因数分解を使った二次方程式の計算は、高校で習う他の単元の中にも度々登場します。
ここでつまずかないよう、一度基本に戻って、中学校でも習った因数分解の公式を思い出してみましょう。
因数分解の公式
中学校で習った因数分解の復習がてら、公式を確認してみましょう。
高校数学の内容に入っていく前に押さえておきたい因数分解の公式は、以下の4つです。
- x²+(a+b)x+ab=(x+a)(x+b)
- x²+2ax+a²=(x+a)²
- x²-2ax+a²=(x-a)²
- x²-a²=(x+a)(x-a)
ここに挙げた因数分解の4つの公式は、いずれも中学校の頃に習った公式です。
これらの公式が分かっていないと、先の内容に進むことができません。
あやふやなものや忘れていたものがあれば、一旦立ち止まって中学校3年生のときの問題集を使って復習しましょう。
CHECK
- 方程式とは等号(=)と未知数(x)がある式のこと
- 因数分解とは複雑な式を掛け算の形に書き表すこと
- まずは中学校で習った因数分解の公式を思い出そう
高校で習う因数分解の2つの解き方
中学校で習った因数分解の内容は思い出せましたか?次に、高校で習う因数分解の2つの解き方、「たすき掛け」と「解の公式」を見ていきましょう。
それぞれ練習問題も載せていますので、ぜひ復習に活用してください。
1.「たすき掛け」を使った因数分解
高校で習う因数分解の解き方の一つ目は「たすき掛け」です。
進学校に通っていた人は、中学校で勉強したことがあるかもしれません。
たすき掛けは、「6x²+13x+5」のような、中学校で習った4つの因数分解の公式では解けない式の解を見つけるときに使います。
それでは、「たすき掛け」を使って「6x²+13x+5」の式を因数分解する方法を詳しく見ていきましょう。

たすき掛けを使うときは、「x²の前の数字」と「xがついていない数字」に注目します。
「6x²+13x+5」の場合だと、「x²の前の数字」は6、「xがついていない数字」は5です。
数字2つに注目したら、掛け算して「x²の前の数字」の6になる数字のペアと、掛け算して「xがついていない数字」の5になる数字のペアを考えます。
掛け算して6になる数字のペアは、「1と6」「2と3」「-1と-6」「-2と-3」の4つ。
掛け算して5になる数のペアは、「1と5」「-1と-5」の2つです。
数字のペアを見つけるときは、マイナスがつく数字も忘れないようにしましょう。

数字のペアを見つけたら、2つの数字を「6x²+13x+5」の式の「x²の下」と「xがついていない数字の下」に並べます。
すべてのペアを数字の下に並べたら、数字をななめに掛け算し、掛けた結果を横に書きます。
そして、横に書いた2つを足した数字が、「xの前の数字」と一緒になるまで組み合わせを探します。
「6x²+13x+5」の「xの前の数字」は13なので、足した結果が13になるまで組み合わせを探しましょう。
この、ペアを探す作業が大変ですが、根気強く探すのがポイントです。
「6x²+13x+5」の例では、「3と1」のペアと「2と5」のペアを斜めに掛けた結果が10と3になります。
そして「10+3」の計算をすると「xの前の数字」の13と同じになることが分かります。
足した結果がxの前の数字と一致しているので、この組み合わせが正解です。
ここまでくれば、あと一息です。
今度は、ななめではなく横の数字の並びに注目して式を作りましょう。

そうすると、「6x²+13x+5」からは、(3x+5)と(2x+1)の2つの式を作ることができます。
最後に、作成した2つの式を掛け算の形に書き直します。
「6x²+13x+5=(3x+5)(2x+1)」の形になれば、因数分解の完成です。
計算結果が合っているか確かめるには、式を展開して元の式に戻す「確かめ算」を実践してみるとよいでしょう。
因数分解をしたとき、展開をして確かめる癖がついていると間違いに気づけるため、より正確な答えを求められるようになります。
練習問題に挑戦
続いて、たすき掛けを使った因数分解の練習問題を解いてみましょう。

「2x²+x-6」の式を因数分解してください。
答えは求められましたか?それでは、解き方と解答を見ていきましょう。
「2x²+x-6」の「x²の前の数字」は2、「xがついていない数字」は-6です。
掛け算して2になる数字のペアは、「1と2」と「-1と-2」。
掛け算して-6になる数のペアは、「2と-3」と「-2と3」です。
数字をななめに掛け算し、2つの計算結果を足した数字が、「xの前の数字」である1と一緒になる組み合わせを探します。
式の正解の組み合わせのペアは「2と-3」と「1と2」です。
今回のようにxの係数が1の場合は、数字が省略されるので注意しましょう。
「2と-3」「1と2」の組み合わせで掛け算を作ると、「2x²+x-6=(2x-3)(x+2)」となります。
これで「2x²+x-6」の因数分解が完了です。
以上が、たすき掛けを使った因数分解の解き方でした。
因数分解の方法は、たすき掛けだけではありません。
他の解き方は、記事の最後に紹介している問題集に登場しているので、ぜひそちらで練習問題に挑戦してください。
問題に慣れるためには、繰り返し問題集を解いて定着させるのがおすすめです。
2.「解の公式」を使った二次方程式の解き方
たすき掛けを使った因数分解の方法を見てきましたが、方程式の中には掛け算の形に書き表せないものもあります。
-

因数分解が難しいのではなく、因数分解ができない方程式もある、という意味です。
因数分解が使えないとき、二次方程式であれば「解の公式」を使って解きます。

「解の公式」を用いた計算は複雑ですが、これを覚えておけば、どんな二次方程式でも解を求めることができます。
もし「解の公式」を覚えていなければ、中学校3年生のときの問題集に戻って復習をしましょう。
練習問題に挑戦
それでは、「解の公式」を使う練習問題を解いてみましょう。
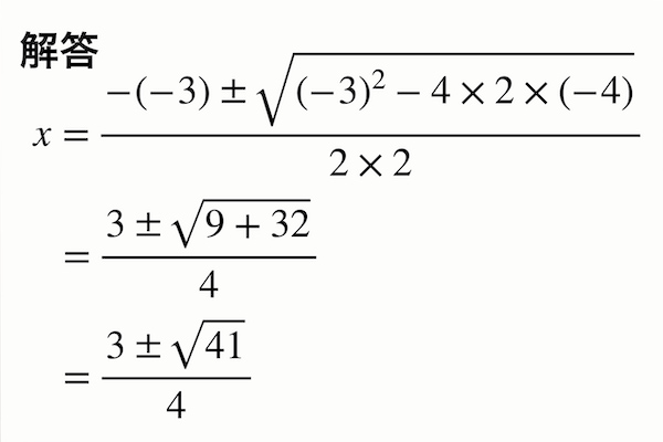
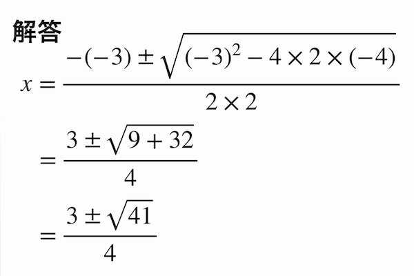
二次方程式「2x²-3x-4=0」の解を求めてください。
答えは求められましたか?それでは、解き方と解答を見ていきましょう。

「2x²-3x-4=0」の答えは、「解の公式」に代入するだけで求められます。
「解の公式」を使うと計算の工程が多くなりますが、ミスをしないよう丁寧に計算しましょう。
CHECK
- 高校で習う因数分解の解き方は「たすき掛け」と「解の公式」の2つ
- 公式を使って解けない方程式には「たすき掛け」を使う
- 因数分解ができない二次方程式の解は「解の公式」で求める
方程式と因数分解のおすすめの勉強法
方程式と因数分解のおすすめの勉強法は、基礎である中学校の内容を復習し理解できているか確認したうえで、繰り返し練習問題を解いて問題に慣れる方法です。
-

数学の勉強は、学習の積み重ねが大切です。
数学は、前の内容が理解できていないと、次の内容も理解できなくなってしまいます。
危険なのは、分かったつもりになってしまうことです。
理解が追い付いていないまま、どんどん難しい内容に進んでしまうと、「定期テストは暗記で乗り切れていたのに、受験勉強になった途端、問題が解けなくなる」なんてことが起こってしまいます。
そうならないためにも、背伸びして最初から難しい問題に手を出すのではなく、問題集を使って基礎的な内容から確実に理解しましょう。
問題集の勉強範囲
因数分解のおすすめの勉強法は、以下の範囲の問題を繰り返し解くことです。
最初のうちは、簡単な問題だけを解きましょう。
- 青チャート【第1章 数と式】1.整式の加法・減法・乗法 2.因数分解
- サクシード【第1章 数と式】1.整式の加法および減法および乗法 2.展開の公式 3.因数分解(1) 4.因数分解(2)
- 4STEP【第1章 数と式】1.整式の加法と減法および乗法 2.展開の公式 3.因数分解
- Legend【第1章 数と式】1.式の計算
-

これらの問題集の指定した問題に取り組むと、基礎が身に付きます。
何回も繰り返して解き、完璧に解けるようになったら、「共通テストレベル編」の動画に進んでください。
問題集の基本問題が解けるようにならないうちは、「共通テストレベル編」に進まないようにしましょう。
なぜなら、数学に限らず、勉強は最初から難しい問題に挑戦することにあまり意味がないからです。
まずは、簡単で基本的なところをなるべく速いスピードで一度全体を通して理解してしまいます。
その後、2周目3周目でもっと難しい問題を解いていった方が、最初に勉強した内容を覚えているので効率的です。
ぜひ、この記事や紹介した動画を使って、なるべく速いペースで全体図をつかみましょう。
CHECK
- 分かったつもりにならず基礎から確実に押さえる
- 最初から発展的な内容まで理解しようとしない
- まずは速いペースで数学の全体像をつかんでしまおう
数学が勉強できるオススメの塾
数学や因数分解が勉強できる塾を3つご紹介します。
個別教室のトライ

因数分解を勉強するなら「個別教室のトライ」がおすすめです。
| 個別教室のトライの基本情報 | |
|---|---|
| 対象 | 小学生・中学生・高校生 |
| 授業形式 | 1対1の個別指導 |
| 校舎 | 全国607教室 |
| 特徴 | 厳選されたプロ講師陣による全国No.1の個別指導塾 |
なぜおすすめなのか、その理由を3つご紹介します。
「分かったつもり」を防ぐマンツーマン指導
「個別教室のトライ」は完全マンツーマン指導なので、自分のペースで学習を進められます。
「個別教室のトライ」では、教師から一方的に教わるばかりの一方通行の授業は行われていません。
学習した内容を自分の言葉で説明できるようになるまで指導してもらえるため、分からないところの取りこぼしがないのが特徴です。
そのため、危険な「分かったつもり」を防ぐことができます。
また、因数分解は高校で習う数学の基本となる単元です。
ここでつまずいてしまうと、次から学習する内容も理解できなくなってしまいます。
「個別教室のトライ」を利用し、早めに弱点を見つけて克服しておくことで、着実に知識を積み重ねていくことができるでしょう。
自分の学力や性格に合った教師に出会える
「個別教室のトライ」には、厳しい採用基準で選ばれた、指導経験・合格実績・評判に長けた教師が多数在籍しています。
マンツーマン指導の塾では、教師から一対一で教わるため、教師との相性や質は重要なポイントです。
その点、一人一人の学力や目標、性格に合った教師に教わることができる「個別教室のトライ」のシステムは、たいへん優れていると言えます。
オーダーメイドの学習カリキュラムに沿って学べる
「個別教室のトライ」では、AIを積極的に取り入れており、オーダーメイドの学習カリキュラムを作成しています。
自分のレベルや性格に合った学習方法が分かることで、より効率的に学習を進めることができるでしょう。
「個別教室のトライ」では、無料体験事業を実施しています。
自分に寄り添った指導をしてもらえる「個別教室のトライ」が気になる方は、まずは体験に行ってみてはいかがでしょうか?
✔対話式授業で主体性が身につく
✔生徒に適した学習プランの作成
✔講師が選べるシステム
東京個別指導学院

因数分解を勉強するなら「東京個別指導学院」がおすすめです。
| 東京個別指導学院の基本情報 | |
|---|---|
| 対象 | 小学生・中学生・高校生・高卒生 |
| 授業形態 | 最大1対2までの個別指導 |
| 校舎 | 首都圏を中心に全250の直営教室を展開 |
| 特徴 | 「成績向上・結果」「講師」で顧客満足度の高い指導 |
なぜおすすめなのか、その理由を3つご紹介します。
コーチング指導を利用した授業
東京個別指導学院では、コーチングのスキルを身につけた講師が生徒の主体性を引き出すために、対話型で授業を進めていきます。
生徒の目標に合わせて学習計画を立てて、今後取り組むべきことを一緒に明確にしていきます。
授業があるごとに、生徒と現在の学習状況や進捗状況を随時確認します。
オーダーメイドカリキュラムの作成
生徒のレベルや現状を見ながら、目標を達成するまでの学習プランを作成してくれます。
完全に理解して、知識が定着するまでに必要な授業数をだし、スケジュール化したものを提案してもらえます。
また、使用するテキストに関しても柔軟に対応してもらえ、学校のテキストから市販のテキストまで授業や目的に合わせながら選ぶことができます。
講師の選択が可能
東京個別指導学院では、入塾の時に複数の講師の体験授業を受けることができてその名で最も相性の良い先生を担当講師として選ぶことができます。
生徒の目的・学力・性格にぴったり合う講師を選択することで、より成績の伸びが期待できます。
生徒側も、相性の良い講師であれば、勉強のモチベーションも長く保つことが可能です。
【2026年】東京・関西個別指導学院の春期講習について
| 【2026年】東京・関西個別指導学院の春期講習 | |
|---|---|
| 対象学年 | 小学生 / 中学生 / 高校生 |
| 申込期間 | ~2026年4月7日まで |
| 講習期間 | 2026年3月18日~2026年4月7日まで |
| 授業料 | 授業料シミュレーション |
| 春期講習のポイント | 入会金不要&1科目からでも受講可能 |
| 校舎情報 (東京個別指導学院) |
【関東】東京・神奈川・千葉・埼玉 【東海・九州】愛知・福岡 東京個別指導学院の教室情報を確認する⇒ |
| 校舎情報 (関西個別指導学院) |
【関西エリア】京都・大阪・兵庫 関西個別指導学院の教室情報を確認する⇒ |
| お問い合わせ | 春期講習のお問い合わせはこちら |
東京・関西個別指導学院は、2026年の春期講習を実施しています。
全国の260教室以上で、春期講習の受付を開始しており、
小学生~高校生まで受講可能ですので、気になる方は1科目からでも受講をしてみてはいかがでしょうか。
東京・関西個別指導学院の春期講習のポイント
東京・関西個別指導学院の春期講習は、1人ひとりに最適な指導と手厚いサポートが受けられます。
- 科目ごとに選べる担任制できめ細かい指導
- ベネッセグループ力を活かした進路・受験指導で合格まで導く
- 1人ひとり最適な専用カリキュラムで効率よく学習可能
東京・関西個別指導学院の春期講習は、1人ひとりに最適な専用のカリキュラムを作成してくれるので、効率よく目標まで学習することが可能です。
受験対策や苦手科目の克服、勉強方法の改善まで幅広く個別に指導してくれ、あらゆる課題に1人ひとり向き合い解決します。
ベネッセグループならではの情報力と、これまでの豊富な指導実績を活かし、的確かつ効果的な対策をご提供いたします。
東京・関西個別指導学院の春期講習の料金・費用
東京・関西個別指導学院の春期講習の料金・費用は、下記の通りです。
| 東京・関西個別指導学院の春期講習の料金・費用 | |
|---|---|
| 入会金 | |
| 授業料 | 授業料シミュレーションで確認する |
| 教材費 | |
東京・関西個別指導学院の春期講習は、
授業料・教材費に関しては、1人ひとり料金が異なるので、授業料シミュレーションから確認してみてください。
また、維持費や管理費なども一切不要ですので、追加での費用がかかる心配はありません。
そのため、安心して東京・関西個別指導学院の春期講習が受けられるでしょう。
東京・関西個別指導学院の春期講習のコース
東京・関西個別指導学院の春期講習の学年別のコースをご紹介します。
| 学年 | コース内容 |
|---|---|
| 高校生 詳しいコース内容はこちら |
大学入試・志望校別対策 |
| 総合型選抜・推薦・共通テスト対策 | |
| 定期テスト・内申点対策 | |
| 苦手科目の克服・勉強法改善 | |
| 中学生 詳しいコース内容はこちら |
高校受験・志望校対策 |
| 定期テスト・内申点対策 | |
| 苦手科目の克服・勉強法改善 | |
| 学校別学習フォロー | |
| 小学生 詳しいコース内容はこちら |
中学受験対策 |
| 学習の復習・基礎固め | |
| 学習習慣定着サポート | |
| 苦手科目の克服サポート |
各学年のコースを見ると、受験対策はもちろんのこと、総合型選抜・推薦入試対策や苦手科目のフォロー、学校別のテスト対策まで行ってくれるようです。
また、ご紹介したコースは一部になるので、その他にも柔軟に対応してくれるようです。
個別指導ならではのきめ細かい指導と最適なカリキュラムで志望校合格や目標達成が出来るでしょう。
気になる方は、公式サイトより各学年のコースを確認してみてください。
東京・関西個別指導学院の春期講習までの流れ
東京・関西個別指導学院の春期講習までの流れをご紹介します。
- 公式サイトのお問い合わせフォームからお問い合わせ
- 無料の学習相談・お子さま専用のカリキュラム作成
- 学力・性格・目的に合った講師を選定
お問い合わせフォームよりお申込みをした後、無料の学習相談で目標や志望校などヒアリングを行い、お子さま専用のカリキュラムを作成いたします。
その後、学力・性格・目的などお子さまに合った講師を選定し、学習を始めます。
春期講習の成果を報告してくれるので、受講後も丁寧なサポートが受けれます。
そのため、保護者は安心して指導を任せることが出来るでしょう。
気になる方は、下記の公式サイトよりお申込みを行ってみてください。
高校数学克服塾MeTa
因数分解を勉強するなら「高校数学克服塾MeTa」がおすすめです。
| 高校数学克服塾MeTaの基本情報 | |
|---|---|
| 対象 | 高校生、浪人生、高校数学を教わっている中学三年生 |
| 授業形式 | 1対1のオンライン個別指導 |
| 校舎 | オンラインのみ |
| 特徴 | 高校数学克服のための数学専門オンライン塾 |
なぜおすすめなのか、その理由を3つご紹介します。
対話を通して論理的思考力を養う
「高校数学克服塾MeTa」では、アメリカのロースクール発祥のソクラテスメソッドを高校数学指導に応用した形で指導を行っています。
数学の克服には、論理的思考力の向上が必須なことから単に問題の解き方を解説するのではなく、対話を通して生徒の発想を促すことで論理的思考力を養うことを目指していきます。
また、対話するためには生徒の考え方を深く知ることが重要になるため必ずノートを注意深く観察し、生徒の考えを十分に聞き込んだ上で指導を開始するため、表面的な解決暗記でなく数学を根本から理解することができます。
1対1の完全個別指導
「高校数学克服塾MeTa」では、生徒との対話を第一に考えているため講師1名が生徒1名を担当するマンツーマン形式になっています。
マンツーマン形式だからこそわからないところがあればすぐに質問ができたり、数学塾Metaの公式LINEを通じていつでも質問ができるため数学の勉強に取り組むことができます。
また、生徒によって苦手な原因や考え方の癖が異なるため、担当制にし1人1人の考え方に向き合い続け、確実に数学の克服まで導きます。
数学克服のためのカリキュラム設定
毎月1回、指導とは別に個別面談を実施して1ヶ月間の学習計画を作成します。
生徒と具体的に決めていくことで効率の良い学習をサポートや勉強方法のアドバイスもして、意欲的に取り組んで学習することを目的とします。
基本を身につけてから難易度を徐々に上げていこう
今回は、中学校で習う因数分解の復習、「たすき掛け」を使った因数分解や「解の公式」など、方程式を解くための基礎的な計算方法を解説しました。
中学校でも習う因数分解ですが、高校ではより発展的な内容を学習します。
因数分解は、高校で習う数学の基礎となる単元なので、理解できていなければ中学校の内容に戻り、確実に理解しましょう。
解き方を押さえたら、後は繰り返し練習問題を解き、問題に慣れるだけです。
今回の記事で基礎を押さえられた方は、次のステップ「共通テストレベル編」に進みましょう。
【初心者でもわかる】この記事のまとめ
「因数分解」に関してよくある質問を集めました。
因数分解のおすすめの自習方法は?
今回の記事や動画を使って基本を理解した後に、記事内で紹介している問題集の指定箇所を解いてみましょう。まずは簡単な問題だけを繰り返し解き、一通り基礎を押さえてから発展的な内容に進みます。中学校の内容を忘れてしまっていたら、中学校の問題集を解いて内容を思い出してから、高校の学習に進みましょう。因数分解おすすめの勉強法の詳細はこちらを参考にしてください。
自分が理解できるまで因数分解を教えてもらえる塾はある?
「東京個別指導学院」で、自分のレベルや性格に合った学習カリキュラムを組み、対話形式の授業をしてもらいましょう。理解できるまでとことん指導をしてもらえるのが個別指導のメリットです。無料体験授業もあるので、気になる方は試しに授業を受けてみてもよいでしょう。おすすめの塾についてはこちらを参考にしてください。
StudySearchでは、塾・予備校・家庭教師探しをテーマに塾の探し方や勉強方法について情報発信をしています。
StudySearch編集部が企画・執筆した他の記事はこちら→
塾・予備校に関する新着コラム
-
オンライン数学専門塾ReKai(リカイ)とは?料金や特徴...本記事では、オンライン数学専門塾ReKaiの気になる料金や特徴について解説しています。オンライン数学専門塾ReKaiが向いている人の特徴や数学が得意になる秘密ま...
-
オンライン英語専門塾OUTCOMEとは?料金や口コミにつ...本記事では、オンライン英語専門塾OUTCOMEの気になる料金や口コミについて解説しています。カリキュラムの特徴や入塾までの流れについても紹介しているので、利用を...
-
じゅけラボ予備校とは?コース・料金・口コミ・特徴について...本記事では、じゅけラボ予備校の料金や口コミについて徹底解説しています。予備校でありながら低コストで受験サポートが受けれるので、予備校を検討されている方は是非参考...
-
小学生の春期講習でおすすめの塾を5選紹介!料金・費用や口...小学生の春期講習におすすめの塾を5校紹介しています。キャンペーン情報なども記載しているので春休みに塾を選ぶ際の参考にしてみてください。
塾・予備校に関する人気のコラム
-
【2026年最新版】料金(授業料/月謝)が安い塾ランキン...「塾に行きたいけど料金が気になる」「なるべく安く勉強を教えてほしい」そんな悩みをお持ちのご家庭は多いと思います。今回は料金が安い、かつ評判が高い塾を紹介します。
-
【2026年最新版】塾の費用|平均費用(料金)や月謝や教...学習塾にかかる費用を個別指導、集団指導それぞれ平均費用や、月謝相場、季節講習、などについて徹底解説!小学生や中学生や高校生の塾をお探しの方は是非参考にして下さい...
-
【2026年】予備校の年間の費用(授業料・入学金)は?浪...予備校には1年でどれくらいの費用がかかるのでしょうか。今回は、予備校や塾の料金の相場について詳しく説明していきます。受験を控えた浪人生、現役生の方は必見です!
-
個別教室のトライ|実際の授業料や料金を調査!口コミやコー...今回は個別指導のトライの料金(授業料・月謝)や評判・口コミ、トライが選ばれている理由。知らないと損な期間限定のキャンペーンや講習会の情報、講師や教材まで詳しく紹...

