階差数列とは?一般項の求め方や数列の和を練習問題とともに解説!
数Bの範囲で大きなテーマのひとつが「数列」です。
並んでいるいくつかの数字から、どのような法則があるかを見つけ出します数列の基本問題に関しては、パターンを押さえれば問題ありません。
今回紹介する数列は階差数列です。
階差数列の定義と一般項の求め方、漸化式などと幅広い内容を紹介します。
また、階差数列や漸化式のおすすめ勉強法や参考書、学習塾について紹介します。
数列を得意分野にするためには、効率の良い勉強方法を心がけなければなりません。
定期テストや受験勉強の対策に役立たせてください。
■まとめ
一般項を求める問題

今回、勉強するのは「階差数列」です。
階差数列とは、並んでいる数字同士の差の値が数列になっているものを指します。
例えば、以下のような数列があったとしましょう。
(1)2,5,10,17,26,37,…
これらの数列は等差数列ではなく、何の関連性もないと思うかもしれません。
しかし、隣り合っている数字同士の差を見てみましょう。
例えば、2と5の差は「5-2」で3です。
5と10の差は同様の計算で5になります。
このやり方で全ての差を求めると下記のように並べられるはずです。
(1’)3,5,7,9,11,…
それぞれの差を並べると数字が2個ずつ増えています。
-

このように、隣り合っている数字の差が規則的に並んでいる数列が階差数列です。
では、階差数列をつくり出している元の数列の一般項を求めましょう。
とはいえ、不規則に並んでいる数列は極めて計算しづらいです。
そこで、数が最も小さい項を使って考えます。
ここで、一度以下のように数列をまとめます。
- {an}2,5,10,17,26,37,…
- {bn}3,5,7,9,11,…
数列anの項を見ていきましょう。
例えば項がa2のとき、つまり「a=5」のときの求め方を確認します。
anとbnの数字を使って「5」を作ってみてください。
すると、それぞれの項から2と3を用いて「2+3=5」という式が作れるはずです。
つまり、「a2=a1+b1」と表せます。
次に「a3」の作り方について説明します。
10を作るためには、同じようにa1とb1の数字を合わせます。
双方を足し算すると、この問題では5と求めることができました。
さらに、b2を確認してみてください。
b2=5であるため、a1+b1に足すとa3と同じ数字である10が作れます。
これらを整理すると、計算式は「a3=a1+b1+b2」です。
ここで、2つの数式を見比べます。
「a2=a1+b1」
「a3=a1+b1+b2」
このように2つの数式は規則性を持つことがわかるでしょう。
a4、a5と数字が増えていくと、「a4=a1+b1+b2+b3」や「a5=a1+b1+b2+b3+b4」と変化します。
つまり、階差数列の規則は「an=a1+(b1+b2・・・bn-1)」です。

階差数列の和を求める方法
つづいて、階差数列の和を求めます。
数列{bn}はそれぞれ初項3、公差2です。
ここで、和の公式である「an=a1+(n-1)d」に当てはめます。
すると、「bn=3+(n-1)×2」と式が作れるはずです。
これを計算すると「bn=2n+1」とまとめられます。
次に数列{an}の和を求めましょう。
計算するときは数列の問題で頻繁に用いられる「Σ」を利用します。
-

Σは、繰り返し足し算することを示した記号です。Σには上下にそれぞれ添字が使われます。出てくるアルファベットはkとnです。
kは変数を指し、nは足し終わるときの番号を表しています。
例えば、Σ3k=1(k)とある場合は、「1+2+3」と計算されて答えが6です。
上記で求めた数列の一般項について、Σを使いながら和の値を算出します。
anの値は「an=a1+(b1+b2・・・bn-1)」で求めることができました。
nが2以上のときの和についてΣを使うと、「an=a1+Σn-1k=1(bk)」と書き換えることが可能です。
このまま、「bn=2n+1」の式に代入して計算を進めていきます。
「bk=2k+1」に直して考えてみましょう。
すると、「an=2+Σn-1k=1(2k+1)」と計算式が置き換えられるはずです。
Σ計算に使われる公式には、「Σnk=1c=(cn)」(cは整数)や「Σnk=1k=1/2n(n+1)」があります。
この式を使いながら、(2k+1)の数値を求めれば答えを出せます。
ただし、Σのnの部分が「n-1」であることに注意してください。
そのため、「bk=2k+1」と「Σnk=1k=1/2n(n+1)」の計算式は次のように作られます。
「an=2+2(1/2(n-1)(n-1+1)+(n-1)」
あとは、これらをまとめれば一般項の計算の完了です。
カッコ内の掛け算を行うと、「2+n(n-1)+(n-1)」と整理できます。
最後に計算を仕上げると、答えは「an=n2+1」と求まりました。

この一連の流れが、階差数列の和を用いた一般項の計算方法です。
階差数列の和においては、初項から(n-1)項を足すと押さえましょう。
CHECK
- 階差数列は並んでいる数字同士の差が数列になっている状態を指す
- 規則性を見つけ、最も数が小さい項を用いて階差数列の和を求める
- Σを使って階差数列の一般項を求める
等比数列で一般項を求める問題

では、上述とは異なる数列を使って再度一般項を求める問題の解説をします。
(1)1,4,13,40,121,364,…
同じように階差数列の値を求めましょう。
隣り合っている数字の差を各々求めていくと、以下のように求められます。
(1’)3,9,27,81,243,…
この階差数列の規則性を掴むことはできましたか。
先程の等差数列とは異なり、右へ進むに連れて数がどんどん大きくなっています。
しかし、あまりにも数字が大きくなりすぎて、規則性をどのように見つけたらいいかわからないかもしれません。
-

もし、等差数列で数字が綺麗に並ばないのであれば、等比数列の可能性を疑うことが有効です。つまり、並んでいる数字がある値の倍数になっていないかを確認します。
ここで、(1’)の数列を確かめましょう。
隣り合っている数字は全て「3の倍数」となっており、加えて1番左から順番に3を掛けると右隣の値になっています。
これらの要素をまとめると、(1’)の数列は数字が3の倍数ずつ変化する等比数列です。
先程と同じく、最初に問題として出された数列と、等比数列となっている階差数列を整理しましょう。
- {an}1,4,13,40,121,364,…
- {bn}3,9,27,81,243,…
では、階差数列の和を用いつつ、一般項の計算をします。
階差数列の和を求める方法
階差数列の和を求める前に、等比数列の初項と等比を導き出します。
数列{bn}を確認すると、初項の値は3です。
また、隣り合っている数字は全て3の乗数となっているため、公比も3と簡単に分かります。
前題と同じく、等比数列の公式に当てはめることが一般項を求めるカギです。
等比数列は次の公式で一般項を表せます。
「an=arn-1」(第n項=初項×公比n-1)
上述で求めた数列{bn}の初項と公比を公式に当てはめましょう。
すると、「bn=3・3n-1」と求められるはずです。

分かりやすく整理すると「3n」となります。
同様の手順で階差数列の和を求めます。
ここでも、Σを使って計算することが望ましいでしょう。
具体的にΣを使った計算式について、再度解説しながら式を作ります。
まず、a2を求める場合の計算式は「a1+b1」です。
a3の値を表すときは「a1+b1+b2」と式が作れます。
要するに、「an」を作りたいときは「an+b1+b2+・・・bn-1」が公式です。
あとは、「b1+b2+・・・bn-1」の部分をΣに直して一般項を求めます。
{an}をΣで表した式が、「an=a1+Σn-1k=13K」です。
a1は{an}の数列から当てはめて1と表せます。
しかし、Σn-1k=13Kの求め方が複雑です。
最もわかりやすい方法として「等比数列の和の公式」を使って解説しましょう。
公式は以下のようにして作られます。
S=a(rn-1)/r-1(Sは和、rは公比、aは初項、nは項数)
この公式に当てはめた場合、「3(3n-1-1)/3-1」と式が出来上がるはずです。
anの式に代入すると「an=1+3(3n-1-1)/3-1」と置き換えられます。
あとは、それぞれの数字をまとめていくだけです。
ちなみに、「3×3n-1」の求め方は係数が同じ数であるため、指数を+1すると覚えましょう。
つまり、3n-1+1と表すことができ「3n」となります。
指数の計算も生かしつつ、再度anをまとめると「an=1+3n-3/2」となり、最終的な答えは「an=1/2(3n-1)」です。

こちらが、等比数列の和の公式を用いた、階差数列の一般項の解となります。
CHECK
- 階差数列がどのような数列になっているか確認する
- 等比数列の公式を使って一般項を求める
- Σを使いながら階差数列の和と一般項を求める
漸化式とは?

最後に階差数列の漸化式について解説しましょう。
高校数学以外ではあまり聞き慣れない言葉ですが、漸化式とは「複数の項の関係式」を指します。
こちらも規則性を確かめるうえで非常に重要な考え方です。
漸化式が存在することにより、経済の動向や環境問題などと将来の予測が必要な研究の精度が高まります。
漸化式の求め方には、さまざまなパターンがあります。
- 等差数列を使った漸化式
- 等比数列を使った漸化式
- 階差数列を使った漸化式など
ここでは、階差数列を使った漸化式の求め方をまとめます。
もし、項数のn+1の値を求めたい場合の公式は「an+1=an+bn」です。
要するに、n項に階差数列の一般項を足すことで漸化式が作れます。
一般項を求める問題
最後に、階差数列の漸化式を使った練習問題で計算方法を紹介します。
練習)次の数列{an}の一般項を求めよ。
ただし、n=1,2,3・・・とする。
a1=1,an+1=an+2n-3
この問題で重要なポイントはΣを適切に使うことです。
例題の式を整理していきながら、最後にΣを用いて数列の一般項を求めます。
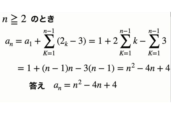
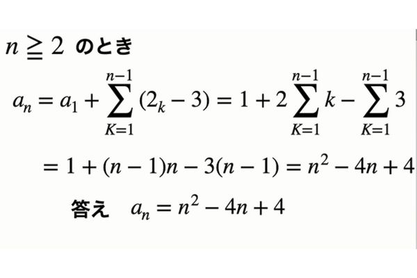
まず、an+1=an+2n-3の式をまとめましょう。
anを左辺に移行して整理します。
すると、求められる式は「an+1-an=2n-3」です。
こちらが階差数列の一般項となります。
この式を上手く使いながら、数列{an}の一般項も求めます。
やり方は上述までの問題と同様です。
公式である「an=a1+Σn-1k=1(bk)」を使います。
先程求めた「an+1-an=2n-3」と当てはめてみましょう。
初項は「n=1,2,3・・・」と記載されているため、「1」であることがわかります。
次にΣn-1k=1(bk)の値は、「Σn-1k=12k-3」です。
ここで、上述でも紹介したΣの公式を活用します。
- Σnk=1K=1/2n(n+1)
- Σnk=1c=cn(cは整数)
ただし、あくまで階差数列であるため「Σn-1k=1」となることに注意してください。
公式もこのように変化します。
- Σn-1k=1K=1/2(n-1)(n-1+1)
- Σn-1k=1c=c(n-1)
{an}の数列に代入すると、「an=1+2・1/2(n-1)(n-1+1)-3(n-1)」と表せるはずです。
あとは、ケアレスミスに気をつけながらそれぞれの項を整理します。
「2×1/2(n-1)」から先に計算を進めると「an=1+(n-1)(n-1+1)-3(n-1)」、そこから「(n-1)(n-1+1)-3(n-1)」の展開を行うと「an=1+n2-n-3n+3」とまとめることができました。
最終的な解は「an=n2-4n+4」です。

CHECK
- 漸化式の一般項を求めるパターンは何種類もある
- 「n+1」を求める場合はn項に階差数列の一般項を足すと漸化式が作れる
- Σの公式を押さえて漸化式の一般項を求める
階差数列のおすすめの勉強法・参考書

階差数列のおすすめ勉強法は、問題集を何度も繰り返し解きながらパターンを押さえることです。
まず、数列の基本である等差数列や等比数列の公式は必ず覚えなければなりません。
特に階差数列はこれらの数列とは異なり、問題に出されても最初のうちは上手く見つけられない人もいるでしょう。
そのため、さまざまな問題にチャレンジして特徴を掴む必要があります。
また、階差数列の一般項を求める問題では「Σ」を使った計算が頻繁に用いられます。
速く確実に解くためには、公式を使いこなし計算スピードを上げることが大切です。
数Bの範囲を難しく感じる方も多いでしょう。
しかし、解き方を覚えてしまえば点数に繋げられます。
基本的な問題から始めましょう。
問題集の勉強範囲
階差数列の勉強をしたいのであれば、以下の問題集がおすすめです。
- 青チャート 【第3章数列】 12 等差数列 13 等比数列
- サクシード 【第3章数列】 17 等差数列とその和(1) 18 等差数列とその和(2)
- 4STEP 【第3章数列】 1 数列 2 等差数列とその和
- Legend 【第3章数列】 16 等差数列、等比数列

問題集を解く際には、慣れないうちは基本問題から順番に進めるといいでしょう。
難しい問題に挑戦するよりも、簡単な問題を繰り返し解いたほうが有効です。
まずは、階差数列の一般項の求め方を確実に押さえます。
基本的な問題は解き方のパターンを頭に入れておけば、しっかりと解を求めることができます。
また、階差数列の一般項を計算していくうえで、漸化式やΣの意味などの理解も必須でしょう。
もし、これらの内容に不安を覚えているのであれば、併せて学習する必要があります。
数列はややこしい公式も多く、使いこなすのは簡単ではないかもしれません。
しかし、ベクトルと比べると定義自体はイメージしやすいはずです。
少しずつ問題に慣れていけるよう練習しましょう。
CHECK
- 等差数列や等比数列も同時に押さえるよう勉強する
- 基本的な問題から解き進め、階差数列の理解を深める
- 漸化式やΣを使った計算に慣れるよう何度も問題を解く
階差数列を勉強するなら「オンライン数学克服塾MeTa」

階差数列を勉強するのであれば、「オンライン数学克服塾MeTa」がおすすめです。
| 対象 | 高校生・大学生・社会人 |
|---|---|
| サービス内容 | 演習授業・1対1個別指導・LINEで指導 |
| 特徴 | 「論理的思考力」の向上で数学に対する苦手意識を克服させる |
「オンライン数学克服塾MeTa」をおすすめする理由を3つ紹介します。
対話を通した指導が持ち味
オンライン数学克服塾MeTaは、対話を通して生徒の理解を深めさせます。
これは、ソクラテスメソッドといわれる方法です。
自分の口で説明するには階差数列を正確に理解しなければなりません。
この方法をマスターすれば、応用問題にも上手く対処できるようになります。
数学に対する苦手意識を克服できる
オンライン数学克服塾MeTaの強みは、難関の採用試験を突破した講師たちが教えていることです。
つまり、数学を苦手とする生徒の特徴も十分に把握しています。
だからこそ、どのようにアプローチすべきかを入念に研究されているといえるでしょう。
指導スタイルの幅が広い
オンライン数学克服塾MeTaの頼れるポイントは、1人1人に対してしっかりとスケジュール管理していることです。
オンライン講義で授業が進んでいきますが、生徒のペースに合わせて対応しています。
わからないところは、講師に質問することで解決しましょう。
CHECK
- 対話を生かして生徒の理解を深める
- 高倍率の難関採用試験を突破した講師陣がサポート
- 生徒のペースに合わせて細かくスケジュールを管理している
東京個別指導学院

| 東京個別指導学院の基本情報 | |
|---|---|
| 対象学年 | 小学生〜高校生 |
| 展開地域 | 東京、神奈川、埼玉、千葉、愛知京都、大阪、兵庫、福岡 |
| 授業形態 | 個別指導 |
| 特徴 | 担当講師制度、AI教材やオンライン学習など |
選べる担当講師制度のサポート
担当講師は教室長、生徒、保護者で相談しながら決めていきます。
最初に複数の講師の授業を受け、目的・学力・性格に合う相性の良い講師を確認しながら決定することができます。
講師を途中で変更することも可能です。
講師と教室長で1人1人に合った学習計画を作成し、進捗を確認しながら状況に合わせて作り直していくため無理のないペースで学習を進めることができます。
宿題も家庭の状況や習い事などの忙しさにも配慮して設定されます。
全教室直営
講師の質を高く維持するため、FC経営ではなく全て直営となっています。
採用後はグループが35年以上の経営の中で改善を重ねた研修プログラムを受講、教室・エリアごとの研修も行って教務力・指導力の向上を測っています。
【2026年】東京・関西個別指導学院の春期講習について
| 【2026年】東京・関西個別指導学院の春期講習 | |
|---|---|
| 対象学年 | 小学生 / 中学生 / 高校生 |
| 申込期間 | ~2026年4月7日まで |
| 講習期間 | 2026年3月18日~2026年4月7日まで |
| 授業料 | 授業料シミュレーション |
| 春期講習のポイント | 入会金不要&1科目からでも受講可能 |
| 校舎情報 (東京個別指導学院) |
【関東】東京・神奈川・千葉・埼玉 【東海・九州】愛知・福岡 東京個別指導学院の教室情報を確認する⇒ |
| 校舎情報 (関西個別指導学院) |
【関西エリア】京都・大阪・兵庫 関西個別指導学院の教室情報を確認する⇒ |
| お問い合わせ | 春期講習のお問い合わせはこちら |
東京・関西個別指導学院は、2026年の春期講習を実施しています。
全国の260教室以上で、春期講習の受付を開始しており、
小学生~高校生まで受講可能ですので、気になる方は1科目からでも受講をしてみてはいかがでしょうか。
東京・関西個別指導学院の春期講習のポイント
東京・関西個別指導学院の春期講習は、1人ひとりに最適な指導と手厚いサポートが受けられます。
- 科目ごとに選べる担任制できめ細かい指導
- ベネッセグループ力を活かした進路・受験指導で合格まで導く
- 1人ひとり最適な専用カリキュラムで効率よく学習可能
東京・関西個別指導学院の春期講習は、1人ひとりに最適な専用のカリキュラムを作成してくれるので、効率よく目標まで学習することが可能です。
受験対策や苦手科目の克服、勉強方法の改善まで幅広く個別に指導してくれ、あらゆる課題に1人ひとり向き合い解決します。
ベネッセグループならではの情報力と、これまでの豊富な指導実績を活かし、的確かつ効果的な対策をご提供いたします。
東京・関西個別指導学院の春期講習の料金・費用
東京・関西個別指導学院の春期講習の料金・費用は、下記の通りです。
| 東京・関西個別指導学院の春期講習の料金・費用 | |
|---|---|
| 入会金 | |
| 授業料 | 授業料シミュレーションで確認する |
| 教材費 | |
東京・関西個別指導学院の春期講習は、
授業料・教材費に関しては、1人ひとり料金が異なるので、授業料シミュレーションから確認してみてください。
また、維持費や管理費なども一切不要ですので、追加での費用がかかる心配はありません。
そのため、安心して東京・関西個別指導学院の春期講習が受けられるでしょう。
東京・関西個別指導学院の春期講習のコース
東京・関西個別指導学院の春期講習の学年別のコースをご紹介します。
| 学年 | コース内容 |
|---|---|
| 高校生 詳しいコース内容はこちら |
大学入試・志望校別対策 |
| 総合型選抜・推薦・共通テスト対策 | |
| 定期テスト・内申点対策 | |
| 苦手科目の克服・勉強法改善 | |
| 中学生 詳しいコース内容はこちら |
高校受験・志望校対策 |
| 定期テスト・内申点対策 | |
| 苦手科目の克服・勉強法改善 | |
| 学校別学習フォロー | |
| 小学生 詳しいコース内容はこちら |
中学受験対策 |
| 学習の復習・基礎固め | |
| 学習習慣定着サポート | |
| 苦手科目の克服サポート |
各学年のコースを見ると、受験対策はもちろんのこと、総合型選抜・推薦入試対策や苦手科目のフォロー、学校別のテスト対策まで行ってくれるようです。
また、ご紹介したコースは一部になるので、その他にも柔軟に対応してくれるようです。
個別指導ならではのきめ細かい指導と最適なカリキュラムで志望校合格や目標達成が出来るでしょう。
気になる方は、公式サイトより各学年のコースを確認してみてください。
東京・関西個別指導学院の春期講習までの流れ
東京・関西個別指導学院の春期講習までの流れをご紹介します。
- 公式サイトのお問い合わせフォームからお問い合わせ
- 無料の学習相談・お子さま専用のカリキュラム作成
- 学力・性格・目的に合った講師を選定
お問い合わせフォームよりお申込みをした後、無料の学習相談で目標や志望校などヒアリングを行い、お子さま専用のカリキュラムを作成いたします。
その後、学力・性格・目的などお子さまに合った講師を選定し、学習を始めます。
春期講習の成果を報告してくれるので、受講後も丁寧なサポートが受けれます。
そのため、保護者は安心して指導を任せることが出来るでしょう。
気になる方は、下記の公式サイトよりお申込みを行ってみてください。
東京個別指導学院の料金
授業料・設備費、教材費のみで、入会金や維持費など発生しません。
教材についても、条件が合えば市販、学校、他塾などの教材を持ち込んでも良いため、その場合はかかりません。
授業料は公表されておらず、学習プランによって個別に提示か、HPなどから問い合わせて目安を教えてもらう方法で知ることは可能です。
自習スペースの利用やテスト対策補講、面接練習や志望理由書の添削など、他の塾によっては有料になることもあるオプションも無料で利用できます。
- 東京個別指導学院がオススメな人
- 他の習い事や部活とかけもちしたい人
- 定期的なサポートを受けたい人
まとめ

今回は、数Bの範囲である「階差数列」について解説しました。
階差数列とは、隣り合った数字の差が等差数列になっている数列です。
はじめのうちは、形を見つけるだけでも大変かもしれません。
もし、等差数列や等比数列にならない数列があったら、まずは階差数列の可能性を疑ってみましょう。
また、一般項を求める問題では、漸化式やΣといった内容も押さえる必要があります。
要するに、数列の範囲をある程度網羅的に押さえておかなければなりません。
問題に慣れるためには、問題集を繰り返し解くことが必要不可欠です。
オンライン数学克服塾MeTaの活用も検討しつつ、階差数列が出題されても解けるよう勉強を進めていきましょう。
【初心者でもわかる】この記事のまとめ
「階差数列」に関してよくある質問を集めました。
階差数列とはどのような数列ですか?
階差数列とは、隣り合っている数字の差を並べた状態を指します。「2,5,11,…」とあれば、「5−2」と「11−5」で「3,6,…」と並べられます。階差数列が等差数列や等比数列になっている場合があるので気をつけて確認しないといけません。階差数列についてはこちらを参考にしてください。
一般項や和を求める問題を解くコツはありますか?
階差数列の和や一般項を求める問題は、数列の規則性をとらえ、等差数列および等比数列の公式と関連付けて押さえることがコツです。Σを使った計算方法も含め、基本的な公式は必ず押さえるようにしてください。和を求める問題についてはこちらを参考にしてください。
StudySearchでは、塾・予備校・家庭教師探しをテーマに塾の探し方や勉強方法について情報発信をしています。
StudySearch編集部が企画・執筆した他の記事はこちら→
塾・予備校に関する新着コラム
-
RK Englishとは?料金や口コミ・特徴や魅力を徹底...本記事では、RK Englishの料金・口コミを徹底解説しています。さらに、元巨人軍リチャード氏による指導の魅力や独自メソッド「Radar」、学習環境まで詳しく...
-
家庭教師のLEAPとは?気になる料金や口コミ・特徴を徹底...本記事では、家庭教師のLEAPの気になる料金や口コミを徹底解説しています。また、特徴や選ばれるポイントなどもご紹介していますので、利用を検討している方は是非参考...
-
オンライン数学専門塾ReKai(リカイ)とは?料金や特徴...本記事では、オンライン数学専門塾ReKaiの気になる料金や特徴について解説しています。オンライン数学専門塾ReKaiが向いている人の特徴や数学が得意になる秘密ま...
-
オンライン英語専門塾OUTCOMEとは?料金や口コミにつ...本記事では、オンライン英語専門塾OUTCOMEの気になる料金や口コミについて解説しています。カリキュラムの特徴や入塾までの流れについても紹介しているので、利用を...
塾・予備校に関する人気のコラム
-
【2026年最新版】料金(授業料/月謝)が安い塾ランキン...「塾に行きたいけど料金が気になる」「なるべく安く勉強を教えてほしい」そんな悩みをお持ちのご家庭は多いと思います。今回は料金が安い、かつ評判が高い塾を紹介します。
-
【2026年最新版】塾の費用|平均費用(料金)や月謝や教...学習塾にかかる費用を個別指導、集団指導それぞれ平均費用や、月謝相場、季節講習、などについて徹底解説!小学生や中学生や高校生の塾をお探しの方は是非参考にして下さい...
-
【2026年】予備校の年間の費用(授業料・入学金)は?浪...予備校には1年でどれくらいの費用がかかるのでしょうか。今回は、予備校や塾の料金の相場について詳しく説明していきます。受験を控えた浪人生、現役生の方は必見です!
-
個別教室のトライ|実際の授業料や料金を調査!口コミやコー...今回は個別指導のトライの料金(授業料・月謝)や評判・口コミ、トライが選ばれている理由。知らないと損な期間限定のキャンペーンや講習会の情報、講師や教材まで詳しく紹...

