二次不等式の解き方とは?二次不等式の練習問題や二次関数の応用問題も解説
高校数学の二次関数には、さまざまな内容が含まれています。
基本形や平方完成などの基本的な部分だけでなく、それを活用した応用問題も数多くあります。
ただ、基本を1つずつ理解すれば、応用問題にも太刀打ちできる力を養うことができます。
今回は、高校数学の二次関数のうち、二次関数の最大・最小、二次関数とx軸の共有点、二次不等式について解説します。
二次不等式とは?
ここからは、二次不等式について解説します。
二次不等式とは、最高の次数が2であるような不等号の入った式のことです。
ax²+bx+c<0(a,b,cは定数、a≠0)のように、xについての二次式になる時「xの二次不等式」といいます。
二次不等式と解の範囲
二次不等式の解の範囲は、(左辺)=0が解をもつかに応じて下記のようになります。
二次不等式と解の範囲
ax²+bx+c(a>0)について、
1⃣ax²+bx+c=0が解p,q(p>q)をもつ場合
①二次不等式ax²+bx+c>0の解の範囲はx<q, p<x
②二次不等式ax²+bx+c<0の解の範囲はq<x<p
2⃣ax²+bx+c=0が解をもたない場合
③二次不等式ax²+bx+c>0の解の範囲は全ての実数
④二次不等式ax²+bx+c<0の解なし(xを満たす解はない)
二次不等式は解き方のパターンを覚える
二次不等式の解き方は、パターンが決まっています。
手順は4つあるので、1つずつ確実に理解をしていきましょう。
①下記のいずれかの形を用いて二次不等式を解く
1.ax²+bx+c<0
2.ax²+bx+c>0
②①で求めた値を用いてグラフを書く
③不等号の向きに注意して、書いたグラフにおいて範囲をみつける
④みつけた範囲のxの範囲を答える

今回は「x²‐3x>-2」を例題にしながら進めていきます。
1つ目の手順では、「xを用いた式【不等号】0」の形にします。
問題では右辺にあった3xを左辺に持ってくることで、「x²-3x+2>0」という形を作ります。
2つ目の手順では、「y=xの式」のグラフを描きます。
ただ、そこまで厳密なグラフを書く必要はありません。
頂点の座標は求めなくて良いので、x軸との共有点の座標だけを求めましょう。

ここまでが手順の半分となります。
理解できているでしょうか?
理解できていないという方は、もう一度最初に戻って見直してみてください。
では、手順の後半に入ります。
3つ目の手順では、描いたグラフにおいて、0より大きい部分(不等号の向きによっては、0より小さい部分の時もあります)をなぞってください。
今回の問題は、「x²-3x+2>0」となっていますが、「y=xの式」とおいたことで、「y>0」という条件にもなっています。
よって、yが0より大きい部分をなぞります。

4つ目の手順では、なぞった部分のxの範囲を答えます。
今回でいえば「x<1,x>2」となります。
この4つの手順を踏むことで二次不等式は確実に解けるようになります。
二次不等式の計算問題
では、二次不等式の練習問題に挑戦しましょう。
「3x²-x+1≦x²+3x」を解いてください。

できましたか?先ほどの4つのステップに沿って説明します。
まず「2x²-4x+1≦0」とします。
続いて「y=xの式」のグラフを描きますが、現在の形ではx軸との共有点の座標が分かりません。
そのため、「0=2x²-4x+1」の二次方程式を解き、共有点の座標を求める必要があります。
二次方程式を解くと、x=(2-√2/2,0),(x=2+√2/2,0)がx軸との共有点の座標となります。
これに従い、ざっくりとしたグラフを書いてみましょう。
次に、グラフの0より小さい部分をなぞってください。
今回は「≦」なので、0より小さい部分をなぞることになります。
4つ目の手順では、なぞった部分のxの範囲を答えます。
すると、2-√2/2<x<2+√2/2という答えが出ます。
CHECK
- 二次不等式とは次数が2で不等号の入った式のこと
- 二次不等式は4ステップをマスターする
- 二次不等式を解く際のグラフはx軸との共有点だけわかればOK
二次関数の応用問題の解き方は?
ここでは、二次関数の応用問題である、二次関数の最大・最小、二次関数とx軸の共有点、判別式、すべての実数となる範囲・係数kの範囲について解説します。
応用問題と言っても、1つずつ解き方を理解すれば必ず解けるようになるので、焦らず見ていきましょう。
二次関数の最大・最小
次に、2次関数の最大・最小問題について、勉強していきます。
この問題を解くポイントは、グラフを描いて考えることです。
適当なグラフであったとしても、グラフの最大値と最小値はどこでしょうと言われたら、どこが最大値、最小値になるかはひと目見たらわかります。
-

「グラフなんか描かなくても大丈夫だよ」と思っていても、時々引っ掛け問題が混じっていることもあるので、必ずグラフを描く癖をつけましょう。
【例題】
「y=(x-1)²+2」の最大値、最小値を求めなさい。

まず、この二次関数のグラフを書きます。
もしグラフの書き方を忘れてしまった場合は、必ず復習してくださいね。
グラフを書くと、(1,2)を頂点とする下に凸のグラフとなります。
このグラフにおいて、頂点である(1,2)が1番下にあるので、最小値となります。
よって、xが1のとき最小値2が答えです。
では、最大値は何かというと、実はありません。
グラフは便宜上、途中で切れていますが、本来はずーっと続いています。
そのため、どこが最大かを判別することができないのです。
よって、最大値は?と聞かれたら、「なし」と答えましょう。
では、もう1問例題を解いてみましょう。
【例題2】
「y=(x-1)²+2 (-1≦x≦4)」の最大値、最小値を求めなさい

二次関数自体は、先ほどの例題と同じなのですが、右にxの範囲が示されています。
これを定義域と呼ぶのですが、これがあると状況が変わってきます。
グラフを書いてもいい部分がこの定義域の範囲内だけになります。
よって、同じ形のグラフでも端っこが少し切れます。
最小値は、先ほどと同様に(1,2)の場所ですが、今回は端があるので最大値も出せます。
一番高いところが最大値になるので、 X が4のときの最大値11です。
このように、定義域があるかないかも重要なポイントなので、見逃さないようにしましょう。
では、練習問題に挑戦してみましょう。
【練習問題】
「y=-2(x+1)²+3 (-2<x≦2)」の最大値、最小値を求めてください。

できましたか?解答と解き方を解説します。
まず、平方完成をする必要があります。
平方完成をすると、aが-2、pが-1、qが3であることがわかります。
そのため、この二次関数は、(-1,3)が頂点である上に凸のグラフであることがわかります。
そして、定義域を確認すると、x=-1のとき最大値3、x=2のとき最小値-15を取ります。
グラフとx軸の共有点
次にグラフと x軸の共有点について解説します。
-

グラフとx軸の交わっている点を共有点と呼びます。
共有点のy座標は、x軸上にあるので、全て0になります。
では、共有点のx座標はどうやって求めれば良いのでしょうか?
二次関数の式にy=0を代入すると、二次方程式の形になります。
そこで、二次方程式を解いてxの値を求めることができれば、それが共有点のx座標になります。
例題を見ていきましょう。
【例題】
「y=x²-3x+2」についてのグラフとx軸の共有点のx座標を求める問題です。

解き方としては、yに0を代入し、0=x²-3x+2という二次方程式の解を求める方法になります。
すると、計算式としては以下のようになります。
0=x²-3x+2
0=(x-1)(x-2)
X-1=0, x-2=0より、x=1,2
この流れがスムーズにできない方は、二次方程式の解き方を復習することをおすすめします。
では、練習問題に挑戦しましょう。
【練習問題】
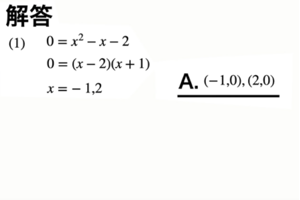
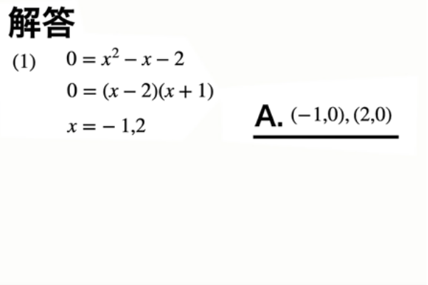
「y=x²-x-2」のグラフとx軸の共有点の座標を求めてください。

できましたか?では、解答と解き方を見ていきましょう。
今まで通り、yに0を代入して二次方程式にした状態で計算をしていきます。
0=x²-x-2
0=(x-2)(x+1)
x=-1,2
よって、答えは(-1,0),(2,0)となります。
続いて、もう1問解いてみましょう。
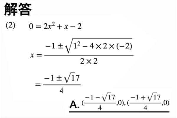
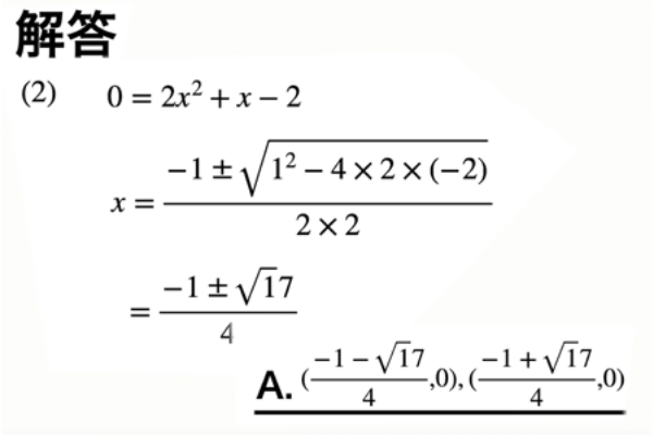
【練習問題2】
「y=2x²+x-2」のグラフとx軸の共有点の座標を求めてください。

できましたか?解答と解き方を見ていきましょう。
こちらは、1問目とは異なり因数分解で求めるのが難しい式です。
そのため、解の公式を利用して解くことになります。
解の公式を利用して解くと、x=-1±√17/4
よって、答えは(-1-√17/4,0),(-1+√17/4,0)となります。
判別式Dによる場合分け
次に、判別式Dによる場合分けについて勉強していきます。
判別式Dによる解の数は下記の通りです。
二次方程式ax²+bx+c=0に対して、判別式D=b²-4ac
二次方程式ax²+2bx+c=0に対して、判別式D/4=b²-ac
①D>0のとき・・・2つの異なる実数解をもつ
②D=0のとき・・・1つの実数解(重解)をもつ
③D<0のとき・・・実数解をもたない
二次方程式ax²+bx+c=0のbが偶数の場合は2つ目の公式を使えると時短できます。
判別式Dによる場合分け①:D>0のとき
まず二次関数y=ax²+bx+c(判別式D>0)をグラフに書きます。
(ⅰ)a>0の場合
a>0より、グラフは下に凸のグラフであり、D>0より解を2つもつため、x軸と2つの点で交わります。
この2つの接点のx座標をそれぞれα,β(α<β)とします。
ax²+bx+c>0となるのは、y=ax²+bx+cがy=0(x軸)より上にある時のため、x<α, β<x
反対にax²+bx+c<0となるのは、y=ax²+bx+cがy=0(x軸)より下にあるときのため、α<x<β
よってa>0, 判別式D>0で、解α,β(α<β)とするとき、
ax²+bx+c>0の解はx<α, β<x
ax²+bx+c<0の解はα<x<β
(ⅱ)a<0の場合
a<0より、上に凸のグラフになり、D>0より解を2つもつため、x軸と2つの点で交わります。
この2つの接点のx座標をそれぞれα´,β´(α´<β´)とします。
ax²+bx+c>0となるのは、y=ax²+bx+cがy=0(x軸)より上にある時のため、α<x<β
反対にax²+bx+c<0となるのは、y=ax²+bx+cがy=0(x軸)より下にあるときのため、x<α, β<x
よってa<0, 判別式D>0で、解α,β(α<β)とするとき、
ax²+bx+c>0の解はα<x<β
ax²+bx+c<0の解はx<α, β<x
以上のように、x²の係数の正負・グラフが上に凸か下に凸かによって答えが変わるので注意しましょう。
また、上記のふたつのパターンをそのまま暗記しようとすると混同してミスを誘発する恐れがあるため、グラフを書いて考えることがおすすめです。
判別式Dによる場合分け②:D=0のとき
D=0のとき、y=ax²+bx+cのグラフはx軸と接することになります。
接している点のx座標をαとすると、x=αのときのみ0になり、それ以外は0より大きくなります。
よって、ax²+bx+c>0の解はx≠αとなります。
また、すべてのxにおいて0以上のため、ax²+bx+c<0は解なしということになります。
ちなみに、a<0の場合は、ax²+bx+c>0は解なし・ax²+bx+c<0はx≠αとなります。
気になる方はグラフを書いて証明してみましょう。
判別式Dによる場合分け③:D<0のとき
二次方程式の判別式Dが負になるとき、y=ax²+bx+cのグラフはx軸と交わりません。
つまり、D<0のときは常に0より大きいか、常に小さいかのどちらかになります。
a>0で下に凸なグラフになるときは、常に0より大きくなります。
よって、ax²+bx+c>0の解はすべての実数
ax²+bx+c<0は解なし
また、a<0で下に凸なグラフになるときは、常に0より小さくなります。
よって、ax²+bx+c>0は解なし
ax²+bx+c<0の解はすべての実数
混同しやすい内容ですが、グラフを書くことで解なしとすべての実数が反対になってしまう等のミスを防ぐことができるので、必ずグラフを書くことを推奨します。
すべての実数となる範囲
二次不等式の問題で「すべての実数となる範囲を求める問題」が頻出問題なので、できるようにしておきましょう。
【例題】
二次不等式x²+4x+k>0の解がすべての実数となるkの範囲を求めなさい。
「すべての実数となる範囲を求める問題」では判別式Dを使うのが基本です。
【解説】
まず、y=x²+4x+kとします。
次にy=x²+4x+kの判別式をDとし計算します。
D
=4²-4・1・k
=-4k+16
x²+4x+k>0の解がすべての実数になるためには、D<0の場合のため
-4k+16<0
k-4>0
k>4
答え:k>4解がすべての実数になる条件がわからない方はこちらから復習しましょう。
係数kの範囲を求める
この係数kの範囲を求める問題も頻出しますが苦手意識がある人も多数いるため、この問題を抑えることで他の人との点数を離すことができます。
【例題】
kを定数とする。
次の二次不等式の解がすべての実数となるようなkの範囲を求めなさい。
kx²-6x+2>0
この問題ではx²の係数がわからなくなっています。
x²の係数が正か負かによってグラフの形が変わるので、場合分けが必要です。
【解説】
y=kx²-6x+2とおいてグラフとx軸との交点について考えます。
(ⅰ)k>0のとき
x²の係数が正→グラフは下に凸
kx²-6x+2>0がすべての実数となるためには、y=kx²-6x+2がx軸と接するか・交わらなければいいということになります。
kx²-6x+2=0の判別式をDとおくと、
D/4
=(-3)²-k・2
=6-2k
D≦0より、
6-2k≦0
-2k≦-6
k≧3
(ⅱ)k=0のとき
kx²-6x+2にk=0を代入すると、
-6x+2
不等式-6x+2≧0を解くと
-6x≧-2
x≦1/3
したがって、k=0のとき解の範囲はx≦1/3となり、すべての実数とはならないため不適です。
(ⅲ)k<0のとき
x²の係数が負のとき、グラフは上に凸となる。
このとき、kがどのような値でもグラフは下に伸びるためy<0となる部分が存在します。
したがって、k<0のとき、すべての実数が解となることはないため不適。
(ⅰ)~(ⅲ)より、求めるkの範囲はk≧3
答え:k≧3
二次不等式はグラフを書くことで条件等がわかりやすくなるので必ずグラフを書いて条件を把握するようにしましょう。
CHECK
- 二次関数の最大・最小問題はグラフを書く
- xが取りうる範囲のことを定義域という
- グラフとx軸との共有点の座標は二次方程式を解いて求める
二次不等式のおすすめの参考書・勉強法
二次不等式のおすすめの勉強法は、何度も何度も繰り返し練習することです。
二次不等式の問題の解き方は、どれも4ステップを使えば解くことができます。
-

慣れるまでは時間がかかるかもしれませんが、慣れてしまえばササッと解けるようになるので、完璧になるまで繰り返し何度も学習することが大切です。
問題集の勉強範囲
二次不等式のおすすめの勉強法は、以下の範囲の問題を繰り返し解くことです。
何度も解いて、解き方の「4ステップ」を自然と暗記してしまうレベルまで完璧にしましょう。
- 青チャート【第1章数と式】⒌ 集合 ⒍ 命題と条件 ⒎ 命題と証明
- サクシード【第1章数と式】⒑ 集合⑴ 11. 集合⑵ 12. 命題と条件⑴ 13. 命題と条件⑵ 14. 命題と証明
- 4STEP【第2章集合と命題】⒈ 集合 ⒉ 命題と条件 ⒊ 命題と証明
- Legend【第2章集合と論証】⒋ 集合 ⒌ 命題と論証
二次関数の最大・最小問題やグラフとx軸の共有点を求める問題も、手順を理解し習得することがかなり大切になります。
基本を何度も繰り返し解き、まずはこれらの問題が完璧に解けるようにしましょう。
基本が完璧になったら、共通テストレベルの応用問題に挑戦してみると良いです。
CHECK
- 解き方を完璧にするため問題集を繰り返し解く
- 二次不等式は4ステップを確実に習得するる
- 基礎が身に付いたら共通テストレベルへ
二次不等式を勉強するためのおすすめの学習塾
オンライン数学克服塾MeTa

| 対象 | 高校生 |
|---|---|
| 授業形式 | マンツーマン形式 |
| 校舎 | オンライン |
| 特徴 | 数学克服に特化したオンライン専門塾 |
オンライン数学克服塾MeTaがおすすめの理由を2つご紹介します。
ソクラテスメソッドで数学を根本から理解
オンライン数学克服塾MeTaの授業は、対話式で行われるため、論理的思考力を身につけることができます。
論理的思考力を身につけることは、数学を理解するために重要となります。
このように、数学の本質から理解することに重点を置いているので、成績を向上することができます。
一人ひとりに合わせたアドバイス
オンライン数学克服塾MeTaでは、月に1度面談を行い、学習計画の作成を行っています。
学習計画を作成することにより、数学の学習が苦手だという方も、効率よく学習を進めることができるでしょう。
その他にも、勉強方法のアドバイスや生徒に合ったカリキュラムを提供してくれるので、数学の苦手を克服したい方におすすめです。
東京個別指導学院

| 対象 | 小学生・中学生・高校生 |
|---|---|
| 授業形式 | 個別指導 |
| 校舎 | 首都圏・関西圏・愛知・福岡 |
| 特徴 | 35年以上の指導歴を持つ信頼の授業 |
なぜおすすめなのか、その理由を2つご紹介します。
コーチングを活用した指導法
東京個別指導学院のコーチングスキルを身につけた講師が、1人1人の学習計画を立ててくれます。
また、コーチングに対話型授業をかけ合わせることによて、生徒がより主体的に授業に取り組むことができるので、 生徒自身で考える力が身につきます。
生徒に勉強を教えるというよりかは、生徒が自分で答えに辿り着けるように指導してくれます。
勉強に集中しやすい環境
東京個別指導学院では、各生徒の部活や習い事のスケジュールに合わせ授業スケジュールを組むことができます。
そのため、部活や習い事がない日に授業を入れたり、逆に部活や習い事が終わったあとに入れたりするなど、 時間を有効に使うことができます。
また、授業当日に急な予定が入ってしまっても、授業の開始前であれば変更が可能です。
【2026年】東京・関西個別指導学院の春期講習について
| 【2026年】東京・関西個別指導学院の春期講習 | |
|---|---|
| 対象学年 | 小学生 / 中学生 / 高校生 |
| 申込期間 | ~2026年4月7日まで |
| 講習期間 | 2026年3月18日~2026年4月7日まで |
| 授業料 | 授業料シミュレーション |
| 春期講習のポイント | 入会金不要&1科目からでも受講可能 |
| 校舎情報 (東京個別指導学院) |
【関東】東京・神奈川・千葉・埼玉 【東海・九州】愛知・福岡 東京個別指導学院の教室情報を確認する⇒ |
| 校舎情報 (関西個別指導学院) |
【関西エリア】京都・大阪・兵庫 関西個別指導学院の教室情報を確認する⇒ |
| お問い合わせ | 春期講習のお問い合わせはこちら |
東京・関西個別指導学院は、2026年の春期講習を実施しています。
全国の260教室以上で、春期講習の受付を開始しており、
小学生~高校生まで受講可能ですので、気になる方は1科目からでも受講をしてみてはいかがでしょうか。
東京・関西個別指導学院の春期講習のポイント
東京・関西個別指導学院の春期講習は、1人ひとりに最適な指導と手厚いサポートが受けられます。
- 科目ごとに選べる担任制できめ細かい指導
- ベネッセグループ力を活かした進路・受験指導で合格まで導く
- 1人ひとり最適な専用カリキュラムで効率よく学習可能
東京・関西個別指導学院の春期講習は、1人ひとりに最適な専用のカリキュラムを作成してくれるので、効率よく目標まで学習することが可能です。
受験対策や苦手科目の克服、勉強方法の改善まで幅広く個別に指導してくれ、あらゆる課題に1人ひとり向き合い解決します。
ベネッセグループならではの情報力と、これまでの豊富な指導実績を活かし、的確かつ効果的な対策をご提供いたします。
東京・関西個別指導学院の春期講習の料金・費用
東京・関西個別指導学院の春期講習の料金・費用は、下記の通りです。
| 東京・関西個別指導学院の春期講習の料金・費用 | |
|---|---|
| 入会金 | |
| 授業料 | 授業料シミュレーションで確認する |
| 教材費 | |
東京・関西個別指導学院の春期講習は、
授業料・教材費に関しては、1人ひとり料金が異なるので、授業料シミュレーションから確認してみてください。
また、維持費や管理費なども一切不要ですので、追加での費用がかかる心配はありません。
そのため、安心して東京・関西個別指導学院の春期講習が受けられるでしょう。
東京・関西個別指導学院の春期講習のコース
東京・関西個別指導学院の春期講習の学年別のコースをご紹介します。
| 学年 | コース内容 |
|---|---|
| 高校生 詳しいコース内容はこちら |
大学入試・志望校別対策 |
| 総合型選抜・推薦・共通テスト対策 | |
| 定期テスト・内申点対策 | |
| 苦手科目の克服・勉強法改善 | |
| 中学生 詳しいコース内容はこちら |
高校受験・志望校対策 |
| 定期テスト・内申点対策 | |
| 苦手科目の克服・勉強法改善 | |
| 学校別学習フォロー | |
| 小学生 詳しいコース内容はこちら |
中学受験対策 |
| 学習の復習・基礎固め | |
| 学習習慣定着サポート | |
| 苦手科目の克服サポート |
各学年のコースを見ると、受験対策はもちろんのこと、総合型選抜・推薦入試対策や苦手科目のフォロー、学校別のテスト対策まで行ってくれるようです。
また、ご紹介したコースは一部になるので、その他にも柔軟に対応してくれるようです。
個別指導ならではのきめ細かい指導と最適なカリキュラムで志望校合格や目標達成が出来るでしょう。
気になる方は、公式サイトより各学年のコースを確認してみてください。
東京・関西個別指導学院の春期講習までの流れ
東京・関西個別指導学院の春期講習までの流れをご紹介します。
- 公式サイトのお問い合わせフォームからお問い合わせ
- 無料の学習相談・お子さま専用のカリキュラム作成
- 学力・性格・目的に合った講師を選定
お問い合わせフォームよりお申込みをした後、無料の学習相談で目標や志望校などヒアリングを行い、お子さま専用のカリキュラムを作成いたします。
その後、学力・性格・目的などお子さまに合った講師を選定し、学習を始めます。
春期講習の成果を報告してくれるので、受講後も丁寧なサポートが受けれます。
そのため、保護者は安心して指導を任せることが出来るでしょう。
気になる方は、下記の公式サイトよりお申込みを行ってみてください。
基本を丁寧に身につけ練習問題に取り組もう
今回は、二次不等式を含む二次関数の応用問題の解説をしました。
今回の内容は、解き方を着実に理解し、何度も復習すれば確実に習得できる分野です。
応用問題だからといって避けるのではなく、一つずつ丁寧に理解を進めていきましょう。
基礎的な問題を完璧にし、共通テストレベルの問題にも挑戦してみてください。
【初心者でもわかる】この記事のまとめ
「二次不等式」に関してよくある質問を集めました。
二次不等式を含んだ二次関数の応用問題は難しいの?
応用問題と書かれていますが、二次関数の基本が理解できていれば難しくはありません。一つずつやり方を理解し、問題演習を繰り返し行えば確実にテストでも良い結果を出すことができます。二次関数の応用問題の詳細はこちらを参考にしてください。
二次不等式の解き方は?
4つのステップを理解すれば解けるようになります。式を変形し、グラフを書き、グラフをなぞりその範囲を書くというステップになっています。何度も練習すれば必ずできるようになるので、完璧になるまで繰り返し問題演習をしましょう。定期テストについてはこちらを参考にしてください。
StudySearchでは、塾・予備校・家庭教師探しをテーマに塾の探し方や勉強方法について情報発信をしています。
StudySearch編集部が企画・執筆した他の記事はこちら→
塾・予備校に関する新着コラム
-
オンライン数学専門塾ReKai(リカイ)とは?料金や特徴...本記事では、オンライン数学専門塾ReKaiの気になる料金や特徴について解説しています。オンライン数学専門塾ReKaiが向いている人の特徴や数学が得意になる秘密ま...
-
オンライン英語専門塾OUTCOMEとは?料金や口コミにつ...本記事では、オンライン英語専門塾OUTCOMEの気になる料金や口コミについて解説しています。カリキュラムの特徴や入塾までの流れについても紹介しているので、利用を...
-
じゅけラボ予備校とは?コース・料金・口コミ・特徴について...本記事では、じゅけラボ予備校の料金や口コミについて徹底解説しています。予備校でありながら低コストで受験サポートが受けれるので、予備校を検討されている方は是非参考...
-
小学生の春期講習でおすすめの塾を5選紹介!料金・費用や口...小学生の春期講習におすすめの塾を5校紹介しています。キャンペーン情報なども記載しているので春休みに塾を選ぶ際の参考にしてみてください。
塾・予備校に関する人気のコラム
-
【2026年最新版】料金(授業料/月謝)が安い塾ランキン...「塾に行きたいけど料金が気になる」「なるべく安く勉強を教えてほしい」そんな悩みをお持ちのご家庭は多いと思います。今回は料金が安い、かつ評判が高い塾を紹介します。
-
【2026年最新版】塾の費用|平均費用(料金)や月謝や教...学習塾にかかる費用を個別指導、集団指導それぞれ平均費用や、月謝相場、季節講習、などについて徹底解説!小学生や中学生や高校生の塾をお探しの方は是非参考にして下さい...
-
【2026年】予備校の年間の費用(授業料・入学金)は?浪...予備校には1年でどれくらいの費用がかかるのでしょうか。今回は、予備校や塾の料金の相場について詳しく説明していきます。受験を控えた浪人生、現役生の方は必見です!
-
個別教室のトライ|実際の授業料や料金を調査!口コミやコー...今回は個別指導のトライの料金(授業料・月謝)や評判・口コミ、トライが選ばれている理由。知らないと損な期間限定のキャンペーンや講習会の情報、講師や教材まで詳しく紹...

