高次方程式とは?パターンごとの回答方法・効率的な因数の見つけ方を紹介
本記事では高次方程式についてご紹介します。
高次方程式は高校数学で習います。
複雑だと思われる高次方程式ですが、一度解き方を知れば、後はスムーズに解くことが可能です。
因数分解について基本的な知識があれば誰でも解けるため、まずは挑戦してみましょう。
因数分解がわからない方は、そこから理解を深めていって下さい。
高次方程式が解けないと悩んでいる方は、この記事で一緒に理解を深めていきましょう。
高次方程式とは?
高次方程式(こうじほうていしき)とは、次のようなものです。
x3-2x2-5x+6=0
xが3乗や4乗になっているような、今までの解き方では解けなかった方程式のことです。
基本的に方程式というのは、掛け算の形=0の形に変形できれば、どれか一つは必ずゼロになり解きやすくなります。
これを高次方程式でも同じ考え方で行います。
-

高次方程式を因数分解する際は、因数定理を使用します。
高次方程式は難しいイメージがありますが、因数分解を理解し、因数定理ができれば解くことが可能です。
CHECK
- 高次方程式とは、xが3乗以上になっている方程式
- 高次方程式も(掛け算の形)=0に変形して解く
- 高次方程式の因数分解には因数定理を利用する
高次方程式の解き方
高次方程式は、いわば三次式を含む方程式のことです。
今まで習ってこなかった方程式であるため、ややこしいと感じるかもしれません。
しかし、方程式を解く際の意味がわかっていれば、応用して高次方程式も解くことができます。
ここでは例題を混ぜながら高次方程式の解き方を見ていきましょう。

因数定理を使用する
高次方程式は複雑というイメージがあるかもしれませんが、実際解くときは、2次方程式のときと同じ考え方です。
方程式というのは「掛け算の形=0」というふうに変形できれば、どれか1つは必ず0になるため解きやすくなるという法則があります。
これは高次方程式の際にも使用します。
ただし、今までは因数分解の方法が分かりませんでした。
そこで使用されるのが因数定理です。
-

因数定理は、3次以上の式の際に使用されます。
因数定理は高次方程式を解くとき、必ず必要となるものであるためしっかりと抑えておきましょう。
具体例①
ここでは、具体例を交えてみていきましょう。
x3-2x2-5x+6=0
答えは次のとおりです。

xに2を代入すると左辺は0になるため、左辺はx-2を因数に持ちます。
左辺をx-2で割ります。
- (x-1)(x2-x-6)=0
- x-1=0,x2-x-6=0
- x=1,(x-3)(x+2)=0
- x=1,x=-2,3
このように因数定理を利用して=0になりました。
因数定理を使用すれば、難しいことなく解くことができます。
具体例②
ここまで習ったことを基に、次の練習問題を解いてみましょう。
この問題も因数定理を使用して、因数分解をします。
3x3-4x2-5x+2=0
因数分解をする際は、xの中に入れて0になる数を探さなければなりません。
もしも探すのが難しいときは次で探すことができます。

求める因数=定数項の約数最高次の項の係数の約数
3の約数→3,1
2の約数→2,1
求める因数候補は1or23or1
絞り込んで探していくと見つけやすくなりおすすめです。
これを例題でxの中に入れて0になる数を見つけ、因数分解をしたら次のようになります。

(x-2)(3x2+2x-1)=0
x-2→x-2
3x2+2x-1=0→x=−2土4+126=-1,13
因数分解をしてみると片方の式は二次方程式になっています。
二次方程式は、これ以上因数分解が出来ない形です。
こちらが0になるということは解の公式を使用し、答えを出すことができます。
具体例③
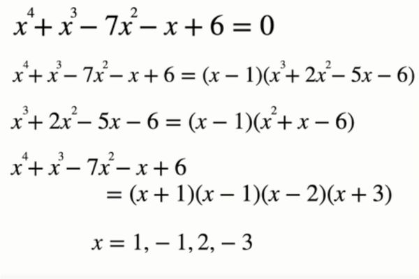
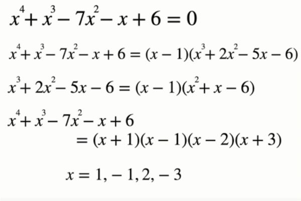
次数が4になっている場合の問題の解き方についても見ていきましょう。
例題はこちらです。

x4-x3-7x2-x+6=0
因数定理を使用して因数分解をしてみると次の形になります。
x4-x3-7x2-x+6=(x-1)(x3+2x2-5x-6)
商の部分がまだ三次になっているため、未だ解くことができません。
三次方程式の左辺について、因数定理を使用してさらに因数分解をします。
そうすると次のとおりです。
x3+2x2-5x-6=(x-1)(x2+x-6)
さらにもう一度因数分解をします。
x4+x3-7x2-x+6=(x+1)(x-1)(x-2)(x+3)
ここまできて、ようやく答えを出すことができます。
x=1,-1,2,-3
CHECK
- 高次方程式は、いわば三次以上の式を含む方程式のこと
- 高次方程式を解く際は因数分解が必要
- 高次方程式の解き方は二次方程式と同じ考え方
料金シミュレーター
学年別のおすすめ塾も同時にチェック!
解と係数の関係

高次方程式の解き方の次は、解と係数の関係について見てみましょう。
解と係数の関係は二次方程式と三次方程式で証明の仕方が多少変わります。
後ほど詳しく解説しますが、二次方程式の場合は解の公式と因数定理+係数比較を使用しての求め方ができるものの、三次方程式の場合は因数定理+係数比較で証明をします。
解と係数の関係は使いこなせるとさまざまな数学で役立つため、身に付けておきましょう。
二次方程式の場合
二次方程式の場合の解と係数の関係について考えましょう。
例えば次の二次方程式の場合で考えてみます。

ax4+bx+c=0の実数解をa+βだとします。
方程式の3つの係数,a,b,cを使うと、次になります。
a+β=-βa
aβ=-ca
簡単に表すことが可能です。
どんな二次方程式でも成り立つもので、問題を解く上で非常に役立ちます。
具体例①
先程行ったことを基に、実際に例題を解いてみましょう。
次の二次方程式について、解と係数の関係をそれぞれ計算してみて下さい。

a+β=--42=2
aβ=32
なお、実数解はa+βだとします。
この2つを足すときは、xの係数x2の係数に-1を掛けたものです。
2つの解の積は定数項x2の係数でした。
これらを使用して実際に解いてみて下さい。
では次は、この解と係数の関係をつかった練習問題をしてみましょう。
具体例②
ここでは次の練習問題を解いてみます。

3x2+4x-2=0の異なる2つの実数解をa,βとするとき、次の式の値を求めよ。
(1)a+β
(2)aβ
(3)a2+β2
ただし、普通にa+βを解の公式を使って無理やり求めるのはやめましょう。
計算コストが非常にかかってしまうため、解と係数の関係をうまく応用してください。
それぞれ解くと、次になります。

(1)a+β=−-43=43
(2)aβ=23
(3)a2+β2=(a+β)2−2aβ
=423−2×23=169−43=49
こちらの解と係数で出てくるa+βやa×βは、基本対称式と呼ばれる形になっています。
aとβを使用した対称式の形ですと、全てa+βやa×βで表すことができます。
この項目で挙げた式も全て対象式となっており、a+βやa×βの式に変換可能です。
(1)の式はa+βを変形することができ、変形できれば後はa+βのところに解と係数の関係で求めた数字を入れれば求められます。
残りの(2)も(3)も同様です。
この式変形は問題でよく出てくるため、暗記しましょう。
CHECK
- 解と係数は覚えておくととても便利
- 解と係数を使用すると計算コストをかけずに済む
- a+βやa×βは、基本対称式と呼ばれる
効率的な因数の見つけ方

因数定理を利用する際、xの中に入れて0になる数を見つけなければならないものの、そんなに簡単なことではありません。
すべての数を代入しても、時間がかかってしまい、テストの際は他の問題を解くことができなくなってしまいます。
しかし、効率的な因数の見つけ方を知ることで問題をスムーズに解くことができます。
高次方程式の例題を解く際にさらっと紹介したのですが、ここでもう一度詳しく触れてみましょう。
まずは有理数解を見つけよう
まずは有理数解を見つける必要があります。
効率的に因数を見つける方法は次のとおりです。
求める因数=定数項の約数最高次の項の係数の約数
例えばx3+x2-5x+3の場合、3の約数→3,1、2の約数→2,1となります。
求める因数候補は1or23or1です。
このように、ルールを使用することで予想できる組み合わせはかなり絞られます。
-

因数定理を利用する際は、効率的な方法で因数を見つけましょう。
因数定理を利用する際は、効率的な方法で因数を見つけましょう。
なお、この後は展開をしていけば証明ができます。
実際、問題を解くときは最高次の項の係数は1になることが多く、その際は定数項の約定から探し出さなければなりません。
求める因数=定数項の約数最高次の項の係数の約数はかなり役立つため、ぜひ暗記して抑えておきましょう。
整式の割り算を筆算で行う方法も
通常の割り算のように、整式の割り算を行うことができます。
基本的には通常のわり算と同じですが、少し異なる部分もあります。
次の三次方程式で例えてみましょう。
x3+x2-10x+8=(x-1)(x2+2x-8)
この場合は、最も大きい次数の値が合うように商を書いて、整式の割り算をしましょう。
その後は因数分解も併用して、三次方程式の解を求めることができます。
先ほど紹介した求める因数=定数項の約数最高次の項の係数の約数でも求められますが、整式の割り算を筆算で行うことも覚えておくと便利です。
CHECK
- 効率的な因数の見つけ方は暗記しておくべき項目
- 因数定理を利用する際は有理数解を見つける必要がある
- 整式の割り算は筆算でもできる
高次方程式をマスターできるおすすめの塾
高次方程式は、解き方を知らなければ解けないものです。
また、一度に苦手意識が生まれると、一人で長時間取り組んでも解くのが難しくなります。
その場合、数学が得意な方である塾講師に教えてもらうのがおすすめです。
塾によって、勉強が苦手な方に向けてさまざまな工夫がされています。
今回は3つの塾をご紹介します。
個別教室のトライ

| 個別教室のトライの基本情報 | |
|---|---|
| 対象 | 幼児・小学生・中学生・高校生 |
| 指導形態 | 1対1のマンツーマン指導 |
| 対象地域 | 全国 |
個別教室のトライの特徴を見ていきましょう。
得点力向上のための学習システム
個別教室のトライでは、トライ式学習法を導入しています。
トライ独自の独自法で、120万人の指導実績から生まれたものです。
一人ひとりの個性や課題に応じて、様々な学習法を提案してくれます。
例えば次のようなものです。
- 必見!学習効率を上げるテクニック
- ムリ・ムダのない学習計画を立てるヒント
- 「やる気」を引き出す環境づくり
勉強が苦手な子でも、やる気が出ない子でも、個別教室のトライならば勉強に取り組むことができます。
志望校合格はもちろんのこと、目標達成に導きます。
オーダーメイドカリキュラムの作成も魅力
個別教室のトライでは、目標達成に向けてオーダーメイドカリキュラムを作成しています。
AIを活用した科学的な学習診断と、地元や受験情報に精通した教育プランナーが目標達成のために、勉強の目標をより具体的にしたものです。
一人ひとりに合わせたオーダメイドカリキュラムを作成してくれるため、無理なく勉強ができます。
主要科目に対応しているため、項目が少ないと悩むこともありません。
CHECK
- トライ式学習法で成績アップ
- 個別教室のトライは一人ひとりに合わせた指導方法が特徴
- ムリなくムダなく学習できる
東京個別指導学院

| 東京個別指導学院の基本情報 | |
|---|---|
| 対象生徒 | 小学生・中学生・高校生・高卒生 |
| 対象地域 | 首都圏を中心に全250の直営教室を展開 |
| 指導方法 | 最大1対2までの個別指導 |
| 自習室情報 | あり(教室により要確認) |
| 特徴 | 「成績向上・結果」「講師」で顧客満足度の高い指導 |
対話型のコーチング指導
東京個別指導学院では、制との考えに寄り添った対話型のコーチング指導を実施しています。
生徒の主体性を尊重しており、生徒の苦手教科の学習に特化するような学習も可能となっています。
個別指導ならではの、手厚い指導を行ってくれます。
どこよりも勉強に集中できる学習環境作り
東京個別指導学院では、どこよりも勉強に集中できる学習環境作りを目標として、環境にこだわった自習室を教室に設けています。
授業がない日でも勉強に集中できる環境でしっかりと勉強を行うことができます。
また、分からない点がある際には講師に質問することもできるため、家よりも充実した環境で学習に取り組むことが出来ます。
【2026年】東京・関西個別指導学院の春期講習について
| 【2026年】東京・関西個別指導学院の春期講習 | |
|---|---|
| 対象学年 | 小学生 / 中学生 / 高校生 |
| 申込期間 | ~2026年4月7日まで |
| 講習期間 | 2026年3月18日~2026年4月7日まで |
| 授業料 | 授業料シミュレーション |
| 春期講習のポイント | 入会金不要&1科目からでも受講可能 |
| 校舎情報 (東京個別指導学院) |
【関東】東京・神奈川・千葉・埼玉 【東海・九州】愛知・福岡 東京個別指導学院の教室情報を確認する⇒ |
| 校舎情報 (関西個別指導学院) |
【関西エリア】京都・大阪・兵庫 関西個別指導学院の教室情報を確認する⇒ |
| お問い合わせ | 春期講習のお問い合わせはこちら |
東京・関西個別指導学院は、2026年の春期講習を実施しています。
全国の260教室以上で、春期講習の受付を開始しており、
小学生~高校生まで受講可能ですので、気になる方は1科目からでも受講をしてみてはいかがでしょうか。
東京・関西個別指導学院の春期講習のポイント
東京・関西個別指導学院の春期講習は、1人ひとりに最適な指導と手厚いサポートが受けられます。
- 科目ごとに選べる担任制できめ細かい指導
- ベネッセグループ力を活かした進路・受験指導で合格まで導く
- 1人ひとり最適な専用カリキュラムで効率よく学習可能
東京・関西個別指導学院の春期講習は、1人ひとりに最適な専用のカリキュラムを作成してくれるので、効率よく目標まで学習することが可能です。
受験対策や苦手科目の克服、勉強方法の改善まで幅広く個別に指導してくれ、あらゆる課題に1人ひとり向き合い解決します。
ベネッセグループならではの情報力と、これまでの豊富な指導実績を活かし、的確かつ効果的な対策をご提供いたします。
東京・関西個別指導学院の春期講習の料金・費用
東京・関西個別指導学院の春期講習の料金・費用は、下記の通りです。
| 東京・関西個別指導学院の春期講習の料金・費用 | |
|---|---|
| 入会金 | |
| 授業料 | 授業料シミュレーションで確認する |
| 教材費 | |
東京・関西個別指導学院の春期講習は、
授業料・教材費に関しては、1人ひとり料金が異なるので、授業料シミュレーションから確認してみてください。
また、維持費や管理費なども一切不要ですので、追加での費用がかかる心配はありません。
そのため、安心して東京・関西個別指導学院の春期講習が受けられるでしょう。
東京・関西個別指導学院の春期講習のコース
東京・関西個別指導学院の春期講習の学年別のコースをご紹介します。
| 学年 | コース内容 |
|---|---|
| 高校生 詳しいコース内容はこちら |
大学入試・志望校別対策 |
| 総合型選抜・推薦・共通テスト対策 | |
| 定期テスト・内申点対策 | |
| 苦手科目の克服・勉強法改善 | |
| 中学生 詳しいコース内容はこちら |
高校受験・志望校対策 |
| 定期テスト・内申点対策 | |
| 苦手科目の克服・勉強法改善 | |
| 学校別学習フォロー | |
| 小学生 詳しいコース内容はこちら |
中学受験対策 |
| 学習の復習・基礎固め | |
| 学習習慣定着サポート | |
| 苦手科目の克服サポート |
各学年のコースを見ると、受験対策はもちろんのこと、総合型選抜・推薦入試対策や苦手科目のフォロー、学校別のテスト対策まで行ってくれるようです。
また、ご紹介したコースは一部になるので、その他にも柔軟に対応してくれるようです。
個別指導ならではのきめ細かい指導と最適なカリキュラムで志望校合格や目標達成が出来るでしょう。
気になる方は、公式サイトより各学年のコースを確認してみてください。
東京・関西個別指導学院の春期講習までの流れ
東京・関西個別指導学院の春期講習までの流れをご紹介します。
- 公式サイトのお問い合わせフォームからお問い合わせ
- 無料の学習相談・お子さま専用のカリキュラム作成
- 学力・性格・目的に合った講師を選定
お問い合わせフォームよりお申込みをした後、無料の学習相談で目標や志望校などヒアリングを行い、お子さま専用のカリキュラムを作成いたします。
その後、学力・性格・目的などお子さまに合った講師を選定し、学習を始めます。
春期講習の成果を報告してくれるので、受講後も丁寧なサポートが受けれます。
そのため、保護者は安心して指導を任せることが出来るでしょう。
気になる方は、下記の公式サイトよりお申込みを行ってみてください。
高校数学克服塾MeTa
高次方程式をマスターするなら「高校数学克服塾MeTa」がおすすめです。
| 高校数学克服塾MeTaの基本情報 | |
|---|---|
| 対象 | 高校生、浪人生、高校数学を教わっている中学三年生 |
| 授業形式 | 1対1のオンライン個別指導 |
| 校舎 | オンラインのみ |
| 特徴 | 高校数学克服のための数学専門オンライン塾 |
「高校数学克服塾MeTa」の特徴は大きく分けて3つあります。
- 数学苦手を無くす論理的思考力
- 個別指導とは違った演習授業
- いつでも質問ができる環境
それぞれの特徴について紹介していきます。
数学苦手を無くす論理的思考力
数学は苦手意識を持つ学生がとても多いです。
理由は、学校の数学は先生が問題の解き方を教えるだけの「暗記」だからです。
どのようにその解き方になったのかという「解き方の思考回路」は教えてくれません。
「なぜ?」という疑問を無くすために、高校数学克服塾MeTaは論理的思考力を伸ばすことを重視しています。
講師は、生徒との対話を第一に考え考え方や癖を観察して十分理解した上で数学の指導を始めます。
そうすることで、生徒は分からないところの暗記ではなくわかるところからゆっくり理解をしていくことができ、数学の克服や成績もアップすることができます。
個別指導とは違った演習授業
毎月1回は、指導以外に学習計画表を作成する個人面談があります。
それに基づいて、数学の問題演習を進めて分からないところがあればすぐに個別で質問できる形式になっています。
個別指導とは、また違った自分で取り組む習慣を身に着けるための授業を高校数学克服塾MeTaは取り組んでいるので、意欲的に数学の勉強ができます。
いつでも質問ができる環境
授業中は、個別ですぐ相談ができますが高校数学克服塾MeTaは授業以外でも質問対応をしています。
勉強中、わからないところがあると飛ばしてしまったり、辞めてしまうことがないように公式LINEを使って質問をすることが可能です。
疑問を解決しストレスを無くすことで、数学克服を目指します。
公式LINEでの質問がどのような感じなのか公式サイトに載っているので気になった方はチェックしてみてください。
まとめ

この記事では高次方程式について解説しました。
高次方程式は、因数定理が理解できれば解けるものです。
1度解き方が分かればその後はスラスラと解けるため、まずは答えを見ながらでも解いてみましょう。
また、それでもわからない方は塾へ通ってみることをおすすめします。
高次方程式がわからない、勉強が苦手、と悩んでいる方はご紹介した3つの中の塾を利用してみて下さい。
ご紹介した塾ならば、一人ひとりに合わせた勉強方法で効率よく指導します。
自分に合った学習方法で苦手な勉強を克服しましょう。
【初心者でもわかる】この記事のまとめ
「高次方程式」に関してよくある質問を集めました。
高次方程式とは?
高次方程式とは、x3-2x2-5x+6=0のような3次以上の方程式のことです。特に、3次方程式、4次方程式を扱う問題が多く見られます。これまでは1次か2次の方程式が主でしたが、因数定理を使うことで、今までの解き方では解けなかった高次方程式を解くことができます。高次方程式の詳細はこちらを参考にしてください。
高次方程式はどう解けばいい?
高次方程式は、因数定理を用いて因数分解し、(掛け算の形)=0とすることで解くことが可能です。因数定理を用いて、xに代入したときに式の値が0になるようなxの値を求めます。因数定理は高次方程式を解くとき、必ず必要となるものであるためしっかりと抑えておきましょう。高次方程式の解き方についてはこちらを参考にしてください。
StudySearchでは、塾・予備校・家庭教師探しをテーマに塾の探し方や勉強方法について情報発信をしています。
StudySearch編集部が企画・執筆した他の記事はこちら→
塾・予備校に関する新着コラム
-
RK Englishとは?料金や口コミ・特徴や魅力を徹底...本記事では、RK Englishの料金・口コミを徹底解説しています。さらに、元巨人軍リチャード氏による指導の魅力や独自メソッド「Radar」、学習環境まで詳しく...
-
家庭教師のLEAPとは?気になる料金や口コミ・特徴を徹底...本記事では、家庭教師のLEAPの気になる料金や口コミを徹底解説しています。また、特徴や選ばれるポイントなどもご紹介していますので、利用を検討している方は是非参考...
-
オンライン数学専門塾ReKai(リカイ)とは?料金や特徴...本記事では、オンライン数学専門塾ReKaiの気になる料金や特徴について解説しています。オンライン数学専門塾ReKaiが向いている人の特徴や数学が得意になる秘密ま...
-
オンライン英語専門塾OUTCOMEとは?料金や口コミにつ...本記事では、オンライン英語専門塾OUTCOMEの気になる料金や口コミについて解説しています。カリキュラムの特徴や入塾までの流れについても紹介しているので、利用を...
塾・予備校に関する人気のコラム
-
【2026年最新版】料金(授業料/月謝)が安い塾ランキン...「塾に行きたいけど料金が気になる」「なるべく安く勉強を教えてほしい」そんな悩みをお持ちのご家庭は多いと思います。今回は料金が安い、かつ評判が高い塾を紹介します。
-
【2026年最新版】塾の費用|平均費用(料金)や月謝や教...学習塾にかかる費用を個別指導、集団指導それぞれ平均費用や、月謝相場、季節講習、などについて徹底解説!小学生や中学生や高校生の塾をお探しの方は是非参考にして下さい...
-
【2026年】予備校の年間の費用(授業料・入学金)は?浪...予備校には1年でどれくらいの費用がかかるのでしょうか。今回は、予備校や塾の料金の相場について詳しく説明していきます。受験を控えた浪人生、現役生の方は必見です!
-
個別教室のトライ|実際の授業料や料金を調査!口コミやコー...今回は個別指導のトライの料金(授業料・月謝)や評判・口コミ、トライが選ばれている理由。知らないと損な期間限定のキャンペーンや講習会の情報、講師や教材まで詳しく紹...

