【高校数学】空間ベクトルとは?空間ベクトルの表し方や典型的な問題を解説
ベクトルの最後の単元である空間ベクトル。
ベクトルが苦手な方は、最後の単元と聞くと「難しくて全く理解できないかも……」と不安になるかもしれません。
しかし、空間ベクトルでは応用的な内容はあまり出てきません。
むしろ、今まで学習してきた平面ベクトルが理解できていれば空間ベクトルもマスターできます。
とはいえ、今まで学習してきた平面ベクトルにも不安がある方は多いでしょう。
そこで、今回は平面ベクトルのおさらいから学習を始めます。
例題を使いながら、具体的に分かりやすく以下について解説するので、ぜひ最後まで目を通していただき、空間ベクトルの理解を深めましょう。
✔空間ベクトルの成分表示
✔分解
✔大きさ
✔内積
✔平行条件と垂直条件
✔空間における内分点/外分点/重心の位置ベクトル
✔4点が同一平面上
■まとめ
料金シミュレーター
学年別のおすすめ塾も同時にチェック!
平面ベクトルをおさらいしよう
まず、空間ベクトルを学習する上で理解しておくべき平面ベクトルのおさらいをします。
⇓平面ベクトルが完璧な方はこちら⇓
ここでは、以下の4点について解説します。
平面ベクトルの足し算
まずは、ベクトルの足し算の解説をします。
-

ベクトルの足し算は、それぞれのベクトルの終点と始点を繋げて、一筆書きの状態にします。
その状態で、全体の始点と全体の終点を一直線で引いた矢印が答えのベクトルとなります。
例えば、「ABベクトル」と「BCベクトル」の足し算は、最終的にはAからCにいくことになるため、AからCに向かって引いた矢印(ベクトル)が足し算の答えです。
ベクトルの内積
次に、ベクトルの内積を解説します。
ベクトルの内積の公式は以下の通りです。
「aベクトル」・「bベクトル」=|aベクトル||bベクトル|cosθ(θは「aベクトル」と「bベクトル」との間の角度の小さい方)
これを「aベクトル」と「bベクトル」の内積と呼びます。
ここで、ベクトルの垂直について解説します。
「aベクトル」と「bベクトル」が垂直に交わっているとき、間の角度(なす角)は90°です。
cosθ=cos90°=0のため、「aベクトル」と「bベクトル」が垂直に交わるときの内積は0になります。
問題演習において、2つのベクトルが垂直であることが条件の場合、内積が0であることを利用する問題である可能性が高いので、必ず覚えておきましょう。
ベクトルの内分点
続いて、ベクトルの内分点について解説します。
従来、線分ABをm:nに内分する点Pは、
P(nx1+mx2/m+n, ny1+my2/m+n)と表します。
これを位置ベクトルを使って表すと、
点A(aベクトル)、点B(bベクトル)を結ぶ線分ABをm:nに内分する点Pは、
「pベクトル」=(n「aベクトル」+m「bベクトル」)/(m+n)
と表せます。
なお、位置ベクトルは、原点Oを始点とし、終点の位置を表すベクトルです。
例えば、点Aについて
Oを始点、Aを終点としたベクトルを「aベクトル」とすると、点A(aベクトル)と表すことが可能になるのです。
これを位置ベクトルといいます。
平面ベクトルのベクトル方程式(直線)
最後に、直線のベクトル方程式の計算方法を解説します。
まず、点Aを通って「dベクトル」に平行な直線を考えましょう。
直線上の任意の点をPとして、点Pの位置ベクトルを「pベクトル」とします。
「pベクトル」は「OPベクトル」のことですが、考え方を変えると「OAベクトル」+「APベクトル」とも表せます。
ここで、「APベクトル」は「dベクトル」に平行であることから、「dベクトル」を実数倍したものが「APベクトル」であると考えられます。
実数をtとおくと、「APベクトル」=t「dベクトル」と表せます。
したがって、「pベクトル」=「aベクトル」+t「dベクトル」が答えです。
CHECK
- ベクトルの足し算は、全体の始点と全体の終点を一直線で引いた矢印
- 2つのベクトルが垂直に交わると内積が0になる
- 線分ABをm:nに内分する点Pは、「pベクトル」=n「aベクトル」+m「bベクトル」/m+n
空間ベクトルとは?|例題を使って理解しよう
ここからは、空間ベクトルを解説します。
空間ベクトルとは、今まで学習してきた平面ベクトルを三次元に拡張して考えるものです。
平面ベクトルが理解できていれば、空間ベクトルも簡単に理解できるため、あまり焦らず1つずつ解説を理解していきましょう。
空間ベクトルの基本の考え方|x軸・y軸・z軸
平面ベクトルでは、縦と横を表すx軸・y軸を使用していました。
しかし、2つの軸だけでは三次元の空間を表せません。
そこで、空間ベクトルでは、高さを表すz軸も使用します。
x軸・y軸・z軸の3つが揃うことで空間ベクトルを表せるようになるのです。
空間ベクトルの表し方
-

空間ベクトルは三次元ですが、紙の上で表す際は二次元なので、便宜的に三次元に見えるような形でグラフを書きます。
このグラフをxyz空間と呼びますが、まずはxyz空間で点を表せるようになることが大切です。
例えば、(1,2,3)という点を考えてみましょう。

まずは、xy平面の中に(1,2,0)という点を書き込みます。
この時、xy平面上なので、z座標は0です。
なお、(1,2,0)はx=1を通ってy軸に平行な線と、y=2を通ってx軸に平行な線との交点に位置します。
(1,2,0)の点を書き込んだら、原点から直線を引っ張り、斜めの線も書き込んでください。
この斜めの線に平行で、z=3を通る直線と、(1,2,0)からz軸方向に伸ばした直線の交点が(1,2,3)の点になります。
ここまでの流れを理解しておくことが、空間ベクトルを学習するうえでのキーポイントになります。
また、原点から(1,2,3)へと引いた矢印がベクトルとなります。
成分は矢印の終点の座標と一致しているため、平面ベクトルと考え方は同じです。
CHECK
- 空間ベクトルとは平面ベクトルを三次元に拡張して考えるもの
- 空間ベクトルをグラフに書く際は便宜的に三次元に見えるような形で書く
- ベクトルの成分は平面ベクトルと同じ考え方
空間ベクトルの公式
次に空間ベクトルの公式をおさらいします。
空間ベクトルの成分表示
A(a1, a2, a3), B(b1, b2, b3)
ABベクトル=(b1-a1, b2-a2, b3-a3)
座標空間において、点A(a1, a2, a3)、点B(b1, b2, b3)をとると、ABベクトルは上記のように表されます。
ちなみに座標のa1をx成分、a2をy成分、a3をz成分といいます。
空間ベクトルの分解
pベクトル=saベクトル+tbベクトル+ucベクトル
同じ平面上にない4点O, A, B, Cに対して、OAベクトル=aベクトル, OBベクトル=bベクトル, OCベクトル=cベクトルとすると、空間内のどんなpベクトルも、実数s, t, uを用いて
pベクトル=saベクトル+tbベクトル+ucベクトル
と表すことができます。
空間ベクトルの大きさ
・aベクトルの大きさ
aベクトル=(a1 , a2, a3)の時、
|aベクトル|=√a1²+a2²+a3²
・2点を結ぶベクトルの大きさ
A(a1, a2, a3), B(b1, b2, b3)のとき、
ABベクトル=OBベクトル-OAベクトル=(b1-a1, b2-a2, b3-a3)より、
|AB|ベクトル=√(b1-a1)²+(b2-a2)²+(b3-a3)²
空間ベクトルの大きさはx, y, z成分をそれぞれ2乗したものにルートをつけます。
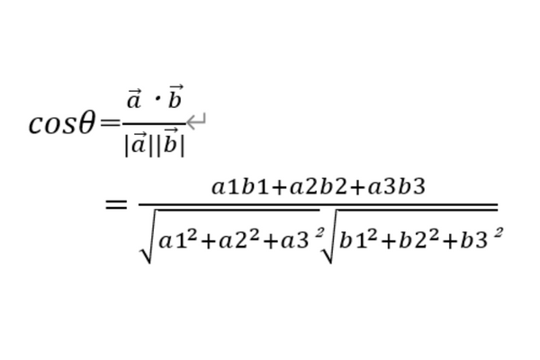
空間ベクトルの内積
0ベクトルでない2つの空間ベクトルaベクトル=(a1, a2, a3), bベクトル=(b1, b2, b3)がなす角をθ(0°≦θ°≦180°)とすると、
aベクトル・bベクトル=|aベクトル||bベクトル|cosθ
aベクトル・bベクトル=a1b1+a1b2+a3b3
空間ベクトルの内積は上記で求めることができます。
空間ベクトルの平行条件と垂直条件
0ベクトルでない2つの空間ベクトルaベクトル=(a1, a2, a3), bベクトル=(b1, b2, b3)において
aベクトル//bベクトル↔aベクトル=kbベクトルとなる実数kがある
↔a1b2-a2b1=0
↔a2b3-a3b2=0(成分表示)
↔a3b1-a1b3=0
aベクトル⊥bベクトル↔aベクトル・bベクトル=0
↔a1b1+a2b2+a3b3=0(成分表示)
aベクトル, bベクトルが垂直の場合、内積は0になります。
空間における内分点・外分点・重心の位置ベクトル
線分ABをm:nに内分する点Pの位置ベクトルpベクトル
線分ABをm:nに外分する点Qの位置ベクトルQベクトル
点Oに関して空間内の3点A(OAベクトル=aベクトル), B(OBベクトル=bベクトル), C(OCベクトル=cベクトル)をとるとき、△ABCの重心Gの位置ベクトルgベクトルはaベクトル, bベクトル, cベクトルを用いて
gベクトル=aベクトル+bベクトル+cベクトル/3
また、3点A(a1, a2, a3), B(b1, b2, b3), C(c1, c2, c3)を結んでできる空間内の三角形の重心Gの座標は、
G(a1+b1+c1/3, b1+b2+b3/3, c1+c2+c3/3)
空間における内分点・外分点・重心の位置ベクトルはそれぞれ上記の公式で求めることができます。
内分点と外分点は、公式が似ている分覚えやすいと感じる人もいるかもしれませんが、間違えやすいポイントでもあるので符号には注意が必要です。
4点が同一平面上
点Oに関して空間内のベクトルをOAベクトル=aベクトル, OBベクトル=bベクトル, OPベクトル=pベクトルとする
4点O, A, B, Cが同一平面上↔pベクトル=aベクトル+bベクトル
4点O, A, B, cが同一平面上にあるとき、上記の公式が成り立ちます。
✔空間ベクトルをマスターするにはまずは公式を覚える
✔問題によってどの公式を使うべきか見極めることが重要
空間ベクトルの典型的な問題演習
ここからは、空間ベクトルの典型的な問題演習を解説します。
基本的な考え方は平面ベクトルと変わりません。
以下の4つのトピックを順番に解説するので、焦らずゆっくりと理解しましょう。
空間ベクトルの足し算・引き算
まずは、空間ベクトルの足し算・引き算のやり方を解説します。
基本的な考え方は、平面ベクトルと同じです。
直方体ABCD-EFGHを考えてみましょう。
直方体ABCD-EFGHにおいて、「ABベクトル」を「aベクトル」、「ADベクトル」を「bベクトル」、「AEベクトル」を「cベクトル」とします。
このとき、「FHベクトル」はどのように表されるのでしょうか?
「FHベクトル」=「FGベクトル」+「GHベクトル」と表されます。

ベクトルは平行移動させても同じベクトルである、というルールを使うと、「FGベクトル」=「ADベクトル」、「GHベクトル」=「BAベクトル」となります。
ここで、「BAベクトル」=-「ABベクトル」であることから、「FHベクトル」=「ADベクトル」-「ABベクトル」=「bベクトル」-「aベクトル」と表されます。
以上のように、平面ベクトルで学習したことを活用すれば空間ベクトルの足し算も理解できることがわかるでしょう。
空間ベクトルの内積|角度を求める
続いて、空間ベクトルの角度を求める以下の例題の解説をします。
問題)「aベクトル」=(1,-1,2)、「bベクトル」=(-1,-2,1)のなす角θ(0°≦θ≦180°)を求めよ。
平面ベクトルで角度を求める場合には、2つのベクトルの内積を計算したはずです。
空間ベクトルにおいても考え方は同じで、2つのベクトルの内積を求めます。
内積には2通りの書き方があります。

- ベクトルの大きさとなす角の余弦を使った式
- 正弦を使った掛け算
実際に数字を当てはめると、cosθ=½と求められ、θ=60°であることがわかります。
これも平面ベクトルのときと同じ考え方で求められることがお分かりいただけたはずです。

空間ベクトルの内分点の公式
続いて、空間ベクトルの内分点の公式を見ていきましょう。
空間ベクトルの内分点の公式は、平面ベクトルの内分点の公式と全く同じになります。
内分点の公式に空間ベクトルの成分を代入すれば、内分点の座標を求めることが可能です。
以下の例題を解いてみましょう。
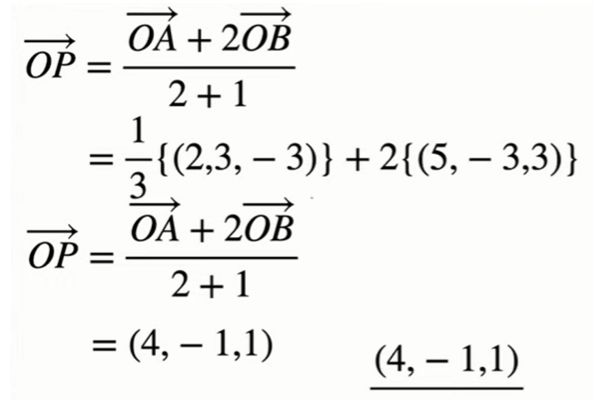
問題)3点A(2,3,-3)、B(5,-3,3)、C(-1,0,6)に対して、線分AB,BC,CAを2:1に内分する点をそれぞれP,Q,Rとする。
このとき点Pの座標を求めよ。
点Pは線分ABを2:1に内分した点であることから、内分点の公式を用いて、以下のような計算が可能です。
「OPベクトル」=(「OAベクトル」+2「OBベクトル」)/(2+1)=(4,-1,1)
これも平面ベクトルと同じであることがわかりますね。

以上の3つは、平面ベクトルと空間ベクトルの考え方が同じです。
空間ベクトルのベクトル方程式
これまでは、平面ベクトルと空間ベクトルとで考え方が同じことを示してきました。
しかし、ここから解説する空間ベクトルのベクトル方程式では平面ベクトルと考え方が異なります。
-

そもそもベクトル方程式とは、図形を位置ベクトルを使って表すことです。
平面ベクトルと空間ベクトルでは、表せる図形に差があります。
平面ベクトルでは考えうる平面が1つしかありませんが、空間ベクトルでは空間の中にいくつもの平面を考えられます。
ここでは、2パターンの問題を通して、空間ベクトルのベクトル方程式を解説します。
ベクトル方程式の問題演習①
では、以下の問題を見てください。
問題)空間内に3点A(「aベクトル」),B(「bベクトル」),C(「cベクトル」)がある。
次の図形を表すベクトル方程式を求めよ。
この問題は直線のベクトル方程式を求める問題で、基本的な考え方は平面ベクトルのときと変わりません。
まず、原点から「通る点」(今回でいえば点A)へのベクトルを考えます。
そこに、点Aから点Pまでのベクトル(「APベクトル」)を足せば良いのです。
ここで、「APベクトル」はBCに平行なので、「BCベクトル」の実数倍であることが考えられます。
よって、「OPベクトル」は以下のように求められます。
「OPベクトル」=「OAベクトル」+t「BCベクトル」
「pベクトル」=「aベクトル」+t(「cベクトル」-「bベクトル」)
=「aベクトル」-t「bベクトル」+t「cベクトル」
ベクトル方程式の問題演習②
続いて、以下の問題を見てください。
問題)空間内に3点A(「aベクトル」),B(「bベクトル」),C(「cベクトル」)がある。
次の図形を表すベクトル方程式を求めよ。

この問題は平面を表すベクトル方程式の問題です。
問題文に「垂直」と書かれている場合は、内積が0であることを利用します。
この場合では「直線AB上を通るベクトル」と「平面内のベクトル」が垂直であることを表しています。
よって、「CPベクトル」⊥「ABベクトル」となるため、「CPベクトル」・「ABベクトル」=0
すなわち、(「pベクトル」-「cベクトル」)・(「bベクトル」-「aベクトル」)=0
これが求めるベクトル方程式となります。
CHECK
- 基本的な考え方は平面ベクトルと同じ
- 「平面」を表すベクトル方程式のみ新しく学習する考え方
- ベクトル同士が垂直であることから内積0を利用する
【苦手克服】数学対策におすすめの塾
ここからは、数学の苦手意識を克服したい方や、もっと点数を伸ばしてさらに得意教科にしたい方向けに、数学の対策におすすめの塾を紹介していきます。
今回ご紹介するのは、以下の3つの塾です。
まず最初に3つの塾の料金を比較して見てみましょう。
| 塾名 (対象学年) |
入会金 | 授業料 |
|---|---|---|
| MeTa (小・中・高) |
無料資料請求で確認 | |
| 東京個別指導学院 関西個別指導学院 (小・中・高・既卒) |
授業料シュミレーション | |
| 個別教室のトライ (幼・小・中・高・既卒) |
11,000円(税込) | お見積もりシュミレーション |
ここからは、各塾について細かく解説していきます。
オンライン数学克服塾MeTa

オンライン数学克服塾MeTaがおすすめです。
| 対象 | 高校生 |
|---|---|
| 授業形式 | 1対1のオンライン個別指導 |
| 校舎 | オンライン |
| 特徴 | 数学克服に特化したオンライン専門塾 |
なぜ空間ベクトルの勉強に「オンライン数学克服塾MeTa」がおすすめなのか、その理由を2つ紹介します。
論理的思考力の向上
1つ目は、論理的思考力の向上につながることです。
数学の学習では、論理的思考力を養うことが大事です。
しかし、学校や予備校では数学の問題を解くことに意識が向き、論理的思考力の向上につながる取り組みが行われていません。
オンライン数学克服塾MeTaでは、対話を通しての学習で論理的思考力の向上を目指します。
日常的に質問できる環境が整っている
2つ目は、日常的に質問できる環境が整っていることです。
オンライン数学克服塾MeTaの公式LINEアカウントがあり、そのアカウントを利用していつでも質問が可能です。
自習の際に質問ができないと、そこで学習が止まってしまうので、大きなタイムロスにつながります。
いつでも質問できる環境があることで、疑問を瞬時に解決でき、ストレスを感じずに学習できるのです。
オンライン数学克服塾MeTaの料金・授業料
オンライン数学克服塾MeTaの料金は以下の通りです。
| オンライン数学克服塾MeTaの料金 | |
|---|---|
| 設備費 | 資料請求はこちらから⇒ |
| 授業料 | |
オンライン数学克服塾MeTaの授業料の詳細は公開されていません。
無料の資料請求をすると、授業料を確認することができます。
無料体験授業実施中!
MeTaでは、サービスを無料で体験することができる無料体験授業を実施中です。
無料体験は主に4つのステップで進みます。
- オンライン個別説明会
- 学習計画表の作成
- 1対1の個別指導
- 親御様も交えた報告面談
お問い合わせをしていただいたあと、スマートフォンやPCを用いて30分程の個別説明会を実施します。
学習計画表の作成を行い、勉強方法に関するアドバイスを行います。
1対1の個別指導を実施します。
スマートフォンスタンドは無料で提供してくれます。
親御様を交えた報告面談を行い、学習のアドバイスなど三者面談を行います。
入塾を検討している方は、手続きを行います。
東京・関西個別指導学院

| 東京・関西個別指導学院の基本情報 | |
|---|---|
| 対象生徒 | 小学生・中学生・高校生・高卒生 |
| 対象地域 | 首都圏を中心に全260の直営教室を展開 公式サイトで教室検索をする⇒ |
| 指導方法 | 最大1対2までの個別指導 |
| 自習室情報 | あり(教室により要確認) |
| 特徴 | 「成績向上・結果」「講師」で顧客満足度の高い指導 |
東京個別指導学院・関西個別指導学院は、全国に約260校舎を展開する個別指導塾です。
ベネッセグループの豊富な情報量
東京・関西個別指導学院は、ベネッセグループであり、全教室が直営で運用されています。
各教室が連携をすることによって、最新情報を交換したり、入手したりしています。
近隣学校の年間行事やテスト範囲などを分析し、出題内容を予測することで、テスト対策も行います。
選べる担当講師制度
東京個別指導学院・関西個別指導学院では、複数の講師の授業を体験することが可能です。
その上で、自分と相性が良い講師を相談して決定することができます。
担当講師は、お子さまの学習状況や志望校などの学習目標を把握しており、コーチング指導を用いながら、一人一人に合わせた対話型の授業を展開しています。
【2026年】東京・関西個別指導学院の春期講習について
| 【2026年】東京・関西個別指導学院の春期講習 | |
|---|---|
| 対象学年 | 小学生 / 中学生 / 高校生 |
| 申込期間 | ~2026年4月7日まで |
| 講習期間 | 2026年3月18日~2026年4月7日まで |
| 授業料 | 授業料シミュレーション |
| 春期講習のポイント | 入会金不要&1科目からでも受講可能 |
| 校舎情報 (東京個別指導学院) |
【関東】東京・神奈川・千葉・埼玉 【東海・九州】愛知・福岡 東京個別指導学院の教室情報を確認する⇒ |
| 校舎情報 (関西個別指導学院) |
【関西エリア】京都・大阪・兵庫 関西個別指導学院の教室情報を確認する⇒ |
| お問い合わせ | 春期講習のお問い合わせはこちら |
東京・関西個別指導学院は、2026年の春期講習を実施しています。
全国の260教室以上で、春期講習の受付を開始しており、
小学生~高校生まで受講可能ですので、気になる方は1科目からでも受講をしてみてはいかがでしょうか。
東京・関西個別指導学院の春期講習のポイント
東京・関西個別指導学院の春期講習は、1人ひとりに最適な指導と手厚いサポートが受けられます。
- 科目ごとに選べる担任制できめ細かい指導
- ベネッセグループ力を活かした進路・受験指導で合格まで導く
- 1人ひとり最適な専用カリキュラムで効率よく学習可能
東京・関西個別指導学院の春期講習は、1人ひとりに最適な専用のカリキュラムを作成してくれるので、効率よく目標まで学習することが可能です。
受験対策や苦手科目の克服、勉強方法の改善まで幅広く個別に指導してくれ、あらゆる課題に1人ひとり向き合い解決します。
ベネッセグループならではの情報力と、これまでの豊富な指導実績を活かし、的確かつ効果的な対策をご提供いたします。
東京・関西個別指導学院の春期講習の料金・費用
東京・関西個別指導学院の春期講習の料金・費用は、下記の通りです。
| 東京・関西個別指導学院の春期講習の料金・費用 | |
|---|---|
| 入会金 | |
| 授業料 | 授業料シミュレーションで確認する |
| 教材費 | |
東京・関西個別指導学院の春期講習は、
授業料・教材費に関しては、1人ひとり料金が異なるので、授業料シミュレーションから確認してみてください。
また、維持費や管理費なども一切不要ですので、追加での費用がかかる心配はありません。
そのため、安心して東京・関西個別指導学院の春期講習が受けられるでしょう。
東京・関西個別指導学院の春期講習のコース
東京・関西個別指導学院の春期講習の学年別のコースをご紹介します。
| 学年 | コース内容 |
|---|---|
| 高校生 詳しいコース内容はこちら |
大学入試・志望校別対策 |
| 総合型選抜・推薦・共通テスト対策 | |
| 定期テスト・内申点対策 | |
| 苦手科目の克服・勉強法改善 | |
| 中学生 詳しいコース内容はこちら |
高校受験・志望校対策 |
| 定期テスト・内申点対策 | |
| 苦手科目の克服・勉強法改善 | |
| 学校別学習フォロー | |
| 小学生 詳しいコース内容はこちら |
中学受験対策 |
| 学習の復習・基礎固め | |
| 学習習慣定着サポート | |
| 苦手科目の克服サポート |
各学年のコースを見ると、受験対策はもちろんのこと、総合型選抜・推薦入試対策や苦手科目のフォロー、学校別のテスト対策まで行ってくれるようです。
また、ご紹介したコースは一部になるので、その他にも柔軟に対応してくれるようです。
個別指導ならではのきめ細かい指導と最適なカリキュラムで志望校合格や目標達成が出来るでしょう。
気になる方は、公式サイトより各学年のコースを確認してみてください。
東京・関西個別指導学院の春期講習までの流れ
東京・関西個別指導学院の春期講習までの流れをご紹介します。
- 公式サイトのお問い合わせフォームからお問い合わせ
- 無料の学習相談・お子さま専用のカリキュラム作成
- 学力・性格・目的に合った講師を選定
お問い合わせフォームよりお申込みをした後、無料の学習相談で目標や志望校などヒアリングを行い、お子さま専用のカリキュラムを作成いたします。
その後、学力・性格・目的などお子さまに合った講師を選定し、学習を始めます。
春期講習の成果を報告してくれるので、受講後も丁寧なサポートが受けれます。
そのため、保護者は安心して指導を任せることが出来るでしょう。
気になる方は、下記の公式サイトよりお申込みを行ってみてください。
東京・関西個別指導学院の料金
東京・関西個別指導学院の料金は以下の通りです。
| 東京・関西個別指導学院の料金 | |
|---|---|
| 入塾金 | 0円 |
| 設備費 | 【首都圏・京阪神】3,960円 【愛知・福岡】2,970円 ※2025年9月より変更 |
| 授業料 | 授業料シュミレーションはこちら |
東京・関西個別指導学院の入会金は無料です。
一般的に入会金がかかる塾が多いので、東京・関西個別指導学院はお得に入塾することができます。
授業料は、公式サイトでは公開されていません。
詳細な授業料を知りたい方は、公式サイトより無料でできる授業料シミュレーションをお試しください。
授業開始までの流れ
東京・関西個別指導学院の授業開始までの流れは以下の通りです。
- お問い合わせ
- カウンセリング
- 無料体験授業
- 通塾スケジュールを決定
まず、公式サイトよりお問い合わせください。
その後カウンセリングを行い、学習状況や進路先の希望についてヒアリングをしていきます。
無料体験授業を希望の方は、受講をし、東京・関西個別指導学院の授業の質や進め方、教室の雰囲気などを知ってもらいます。
もし入塾をする場合は、その後の実際の通塾スケジュールを相談し、決定します。
無料の学習相談も実施中で、学習相談は学習や受験など勉強に関するアドバイスや悩みを聞いてくれます。
どなたでも受付中なので、お気軽にお申し込みください。
個別教室のトライ

| 個別教室のトライの基本情報 | |
|---|---|
| 対象 | 幼児・小学生・中学生・高校生・高卒生 |
| 授業形式 | 1対1の完全マンツーマン指導 |
| 校舎 | 全国600教室以上 |
個別教室のトライは全国に約650校舎も展開する個別指導塾になります。
ぴったりの講師を選抜
個別教室のトライは、約33万人の登録講師のなかからぴったりな講師を選抜しています。
毎回同じ講師が授業を担当する専任制を採用しており、一人ひとりに合わせて適切な指導を行っています。
もし相性が合わないことがあれば、無料での講師交代が可能です。
また、講師は厳しい採用基準をクリアした講師のみを採用しています。
オリジナルのトライ式学習法
個別教室のトライでは、トライ式学習法というオリジナルの学習方法を取り入れて授業を行っています。
分かったつもりを防ぐ「ダイアログ学習法」、記憶の定着を計る「エピソード反復法」、脳科学理論を応用した「トライ式復習法」の3種類がある。
また、120万人のデータから生まれた「性格別学習法」を使って性格を9つのタイプに分け、性格タイプに合わせた授業を実施しています。
個別教室のトライの2026年「春期講習」
個別教室のトライでは、2026年度の「春期講習」の受付を開始しています。
詳細は、以下の通りです。
| 個別教室のトライ 2026年春期講習情報 | |
|---|---|
| 対象学年 | 小学生・中学生・高校生 |
| 講習期間 | 2026年1月13日(火)~2026年3月31日(火)まで |
| 春期限定キャンペーン | |
| 授業料 | お見積りシミュレーション |
| 校舎情報 | 全国650校舎以上 詳しい校舎情報はこちら⇒ |
| 春期講習の お問い合わせ |
春期講習についてお問い合わせはこちら⇒ |
春休みは、前学年の総復習を行い、新学年のスタートダッシュを切る絶好のチャンスです。
トライの春期講習では、一人ひとりに合わせた完全マンツーマン指導で、短期間でも確実な成績アップを目指します。
新学年でのトップ進出や志望校合格を目指す生徒も、基礎固めから丁寧にサポートします。
- 目標や性格に合わせた最適な講師が担当
- 120万人の指導実績に基づくマンツーマン授業
- 教育プランナーが学習を徹底的にサポート
トライの春期講習では、生徒一人ひとりの目標や性格に合わせた講師が担当し、最適な学習プランを提案します。
完全マンツーマン授業だからこそ、短期間でも効率的に成果を上げることができます。
さらに、教室長が進捗を徹底的に管理・サポートし、学習の質を高めます。
この春は、自分専用の学びで「わかる」から「できる」へと確実に成長できるチャンスです。
個別教室のトライ春期講習の料金・費用
個別教室のトライの春期講習の料金・費用をご紹介します。
| 個別教室のトライ 春期講習の料金・費用 | |
|---|---|
| 入会金 | \春期講習の今だけ/ |
| 授業料 | お見積りシミュレーション |
今なら、
春期講習の今だけなので、気になっている人は、ぜひお問い合わせしてみましょう。
個別教室のトライは、一人ひとりの学力や志望校に合わせた専用のカリキュラムを作成します。
そのため、一人ひとりの料金・費用が異なってくるため、料金の詳細はお見積りシミュレーションから行ってみてください。
料金のシステムは、以下の通りです。
公式サイトから、簡単30秒でお見積りをすることができるので、気になる方はぜひ確認してみましょう。
個別教室のトライの春期講習のコース
個別教室のトライが実施している学年別のコースをご紹介します。
新小学1年生~既卒生までを対象に、2026年度の春期講習を実施しています。
それぞれの学年の目的に合わせたカリキュラムを作成し、指導を行います。
| 学年 | 2026年 春の重点コース例 |
|---|---|
| 高校生・既卒生 詳しいコース内容については こちら⇒ |
新高3 大学入試早期対策コース |
| 共通テスト・難関大対策コース | |
| 新学年 苦手科目克服コース | |
| 定期テスト・内部進学対策コース | |
| 中学生 詳しいコース内容については こちら⇒ |
新中3 高校受験スタートダッシュコース |
| 受験基礎力完成・総復習コース | |
| 新学年 定期テスト先取りコース | |
| 英検対策・検定対策コース | |
| 小学生 詳しいコース内容については こちら⇒ |
中学受験対策コース |
| 新中1 中学校内容先取りコース | |
| 思考力養成・算数強化コース |
個別教室のトライは、専用の教材を購入する必要がないため、授業料に追加で高額な費用が掛かることはありません。
2026年度の新学期に向けた準備から受験対策まで、お子さまの目的に合った授業が受けられるか一度相談をしてみましょう。
春期講習の相談については、下記の公式サイトより簡単にお問い合わせができます。
春期講習の受講の流れ
個別教室のトライの春期講習の受講の流れは、以下の通りです。
- 公式サイトのフォームからお問い合わせ
- 無料学習相談や無料体験授業の受講
- 専用カリキュラムと料金プランの提案
- 講師の選定や日程調整をして受講開始
まず、公式サイトのフォームから学習・料金相談や資料請求を行います。
すると、スマホでも読める電子パンフレットがすぐに届きます。
無料学習相談では、一人ひとりの学習のお悩みや料金について詳しく相談ができ、無料で体験授業を受けることも可能です。
その後、ご相談いただいた内容を基に専用のカリキュラムを作成し、お子さまに合った料金プランをご提案いたします。
上記の流れは、全て無料で行えますので、新学年の学習に不安がある方は気軽にご相談をしてみてください。
個別教室のトライの料金
個別教室のトライの料金は以下の通りです。
| 個別教室のトライの料金 | |
|---|---|
| 入会金 | 11,000円(税込) |
| 月謝 | お見積りシュミレーション |
| 教材費 | 要相談 |
個別教室のトライの入会金は11,000円(税込)になります。
授業料は、一人ひとりのオーダーメイドのカリキュラムを作成し授業を実施しているため、公式サイトでの詳細な金額は公開されていません。
授業料を確認したい方は、公式サイトより無料でできるお見積りシミュレーションを使うと確認することができます。
簡単に確認ができるので、金額を確認したい方はお試しください。
個別教室のトライの授業開始までの流れ
個別教室のトライの授業開始までの主な流れをご説明します。
- お問い合わせ
- 教室長兼教育プランナーとの学習相談
- 無料体験授業
- オーダーメイドのカリキュラムの作成
- お見積り作成
- 契約
- 担当講師の決定
まず公式サイトよりお問い合わせをしていただいた後、教室長兼教育プランナーである「トライさん」と進路相談や学習相談などを行い、トライのマンツーマン指導についてを知ってもらいます。
その後、無料体験授業を通して個別教室のトライの授業の進め方や教室の雰囲気を知ってもらいます。
学習相談のヒアリング結果を元にして、目標に向けたオーダーメイドのカリキュラムを作成します。
作成したオーダーメイドのカリキュラムから正式なお見積りを作成します。
ここまでは、完全無料で行っているサポートになります。
入会が決まれば担当講師を決定します。
空間ベクトルのおすすめの参考書・勉強法
空間ベクトルのおすすめの勉強法は、平面ベクトルを正確に理解することです。
今回学習したように、ベクトル方程式以外は全て平面ベクトルと同じ考え方で問題が解けます。
そのため、平面ベクトルが理解できていれば空間ベクトルも半分以上理解できていることになるのです。
平面ベクトルをマスターした上で、空間ベクトルのベクトル方程式のみ別途学習すれば、空間ベクトルはマスターできます。
まずは、平面ベクトルの問題を繰り返し解いて、平面ベクトルをマスターしましょう。
問題集の勉強範囲
空間ベクトルのおすすめの問題集の勉強範囲は以下の通りです。
- 青チャート【第2章 空間ベクトル】9 位置ベクトル、ベクトルと図形 10 座標空間の図形
- サクシード【第2章 平面上のベクトル】14 ベクトルと図形 15 座標空間における図形 16 平面・直線の方程式
- 4STEP【第2章 空間のベクトル】5 位置ベクトル 6 ベクトルの内積 7 座標空間における図形/li>
- Legend【第7章 ベクトル】21 平面上の位置ベクトル 22 空間におけるベクトル
これらの問題と併せて、平面ベクトルの問題も繰り返し復習しておきましょう。
前述のとおり、空間ベクトルの大半は平面ベクトルと同じ考え方で問題が解けます。
そのため、平面ベクトルについての理解を深めておくことが空間ベクトルの理解にも役立ちます。
土台を固めることが数学力向上には1番大切なので、基礎をおろそかにせず着実に学習しましょう。
CHECK
- 平面ベクトルと空間ベクトルの考え方はほとんど同じ
- 平面ベクトルの理解を優先させる
- 「平面」を表すベクトル方程式のみ新しく学習する考え方なので重点的に学習
まとめ
今回は、空間ベクトルについて解説しました。
本文で見てきたように、空間ベクトルを理解するには、平面ベクトルを理解しておくことが重要です。
ベクトル方程式以外は、平面ベクトルで学習した考え方をそのまま取り入れれば、問題を解けます。
基本に忠実に学習すれば必ず理解できるようになります。
わからない部分があれば、本記事や平面ベクトルを解説した記事を見直して、理解を深めるようにしましょう。
【初心者でもわかる】この記事のまとめ
「空間ベクトル」に関してよくある質問を集めました。
空間ベクトルで内積を使うと何が求められるの?
空間ベクトルで内積を使うと、交わる2つのベクトルの間の角度が求められます。「ベクトルの大きさとなす角の余弦を使った式」や「正弦を使った掛け算」をもとに計算すると、sinθやcosθが求められるので、対応する角度を求めてください。空間ベクトルでの内積についてはこちらを参考にしてください。
空間ベクトルの問題演習はどんなポイントに注意すれば良い?
空間ベクトルの問題演習ばかりでなく、平面ベクトルの問題演習にも取り組むことが大切です。平面ベクトルと空間ベクトルは大部分で同じ考え方を共有しているため、平面ベクトルの問題演習ができれば空間ベクトルの問題演習もできるようになります。平面ベクトルについてはこちらを参考にしてください。
StudySearchでは、塾・予備校・家庭教師探しをテーマに塾の探し方や勉強方法について情報発信をしています。
StudySearch編集部が企画・執筆した他の記事はこちら→
塾・予備校に関する新着コラム
-
RK Englishとは?料金や口コミ・特徴や魅力を徹底...本記事では、RK Englishの料金・口コミを徹底解説しています。さらに、元巨人軍リチャード氏による指導の魅力や独自メソッド「Radar」、学習環境まで詳しく...
-
家庭教師のLEAPとは?気になる料金や口コミ・特徴を徹底...本記事では、家庭教師のLEAPの気になる料金や口コミを徹底解説しています。また、特徴や選ばれるポイントなどもご紹介していますので、利用を検討している方は是非参考...
-
オンライン数学専門塾ReKai(リカイ)とは?料金や特徴...本記事では、オンライン数学専門塾ReKaiの気になる料金や特徴について解説しています。オンライン数学専門塾ReKaiが向いている人の特徴や数学が得意になる秘密ま...
-
オンライン英語専門塾OUTCOMEとは?料金や口コミにつ...本記事では、オンライン英語専門塾OUTCOMEの気になる料金や口コミについて解説しています。カリキュラムの特徴や入塾までの流れについても紹介しているので、利用を...
塾・予備校に関する人気のコラム
-
【2026年最新版】料金(授業料/月謝)が安い塾ランキン...「塾に行きたいけど料金が気になる」「なるべく安く勉強を教えてほしい」そんな悩みをお持ちのご家庭は多いと思います。今回は料金が安い、かつ評判が高い塾を紹介します。
-
【2026年最新版】塾の費用|平均費用(料金)や月謝や教...学習塾にかかる費用を個別指導、集団指導それぞれ平均費用や、月謝相場、季節講習、などについて徹底解説!小学生や中学生や高校生の塾をお探しの方は是非参考にして下さい...
-
【2026年】予備校の年間の費用(授業料・入学金)は?浪...予備校には1年でどれくらいの費用がかかるのでしょうか。今回は、予備校や塾の料金の相場について詳しく説明していきます。受験を控えた浪人生、現役生の方は必見です!
-
個別教室のトライ|実際の授業料や料金を調査!口コミやコー...今回は個別指導のトライの料金(授業料・月謝)や評判・口コミ、トライが選ばれている理由。知らないと損な期間限定のキャンペーンや講習会の情報、講師や教材まで詳しく紹...



