二次関数の基本の解き方を押さえよう!練習問題の解説や勉強法も紹介
二次関数は、高校数学の最初の難関と言っても過言ではありません。
中学でも習った二次関数ですが、その内容をさらに深く学ぶため、難しいと感じる人が多くなる分野です。
ただ、正しい勉強法で繰り返し学習すれば、必ずマスターできる分野でもあります。
今回は、高校で学習する二次関数の基本形や平方完成の方法について解説します。
✔手厚くサポートしてもらいたい➡湘南ゼミナール
✔平方完成から徹底的に教えてもらいたい➡オンライン数学克服塾MeTa
✔二次関数の基本からマンツーマンで学びたい➡家庭教師ファースト
関数とは?
まずは、関数の基本的な内容から始めていきます。
そもそも関数とは何かというと、「何か物が入ってきたら中で計算をして、違う形にして外に出す装置」のような物だと考えてください。
例えば、入ってきたものに対して、必ず2倍+1して外に出す、ということを行います。
つまり、入ってきたものを計算するためのルールが関数になります。
ここで、入ってきたものを「x」、出てきたものを「y」とすると、「y=2x+1」と表せるのです。
従って、関数は入ってきたXを計算するためのルールだと理解することが大切です。
高校で習う関数の基本
式の形を見ただけで、どんな形の関数なのかを理解するのは難しいと思います。
そこで、わかりやすく視覚化する方法をご紹介します。
2つの例題を使って見ていきましょう。
例題1:y=2x+1
1つ目の例は、「y=2x+1」についてです。
関数から導き出されるxとyのペアは、次のようになります。
| x | -2 | -1 | 0 | 1 | 2 |
|---|---|---|---|---|---|
| y | -3 | -1 | 1 | 3 | 5 |
この数のペアに記号をx,y座標に表し、その点を無数に増やすと、直線の形になります。
これを、グラフに表すと以下のようになります。
このように、y=(xの1次式)で表せるとき、これを一次関数と言います。
例題2:y=x²
2つ目の例は、「y=x²」についてです。
関数から導き出されるxとyのペアは、次のようになります。
| x | -2 | -1 | 0 | 1 | 2 |
|---|---|---|---|---|---|
| y | 4 | 1 | 0 | 1 | 4 |
この数のペアに記号をx,y座標に表し、その点を無数に増やすと、放物線の形になります。
つまり、グラフは以下のようになります。
このように、y=(x²の式)で表せるとき、これを二次関数と言います。
関数の種類とグラフの形
実は、関数にはさまざまな種類があります。

一次関数や二次関数、三次関数など、挙げればキリがありません。
ただ、これらの関数もその種類によって、大まかにグラフの形は決まっています。
例えば、一次関数であれば直線のような形になり、二次関数であれば放物線のような形になります。
CHECK
- 関数は、入ってきたxを計算するためのルール
- 関数は種類によってグラフの形が決まっている
- 一次関数は直線、二次関数は放物線
二次関数の基本形
このようにたくさんある関数の中でも、今回は二次関数について学習します。
二次関数は中学でも学習した分野ではありますが、より発展的な内容になるので、一つずつ落ち着いて理解するようにしましょう。
高校で習う二次関数とは?
まず、高校で習う二次関数は、式の形が変わります。
「y=a(x-p)²+q」となります。

高校では、これが基本の形として使われるので、覚えておくようにしましょう。
この式に含まれているaとpとqには、それぞれ役割があります。
aは放物線の形を決める数字です。
-

このaが0より大きければ、「下に凸」と言い、下に頂点があり、上は口が開いているような形になります。
一方、0より小さければ、「上に凸」と言い、上に頂点があり、下は口が開いているような形になります。
ここまでは中学でも学習した範囲ですので、「忘れちゃったよ」という方は、一度中学の内容に戻って確認するようにしましょう。
では、pとqは何を表すかというと、「頂点の座標」です。
頂点というのはグラフにおける頂上の部分のことを指しますが、これがどこにあるのかを示すのがpとqです。
pが頂点のx座標を表し、qが頂点のy座標を表す点を理解しておきましょう。
では、例題です。
「y=3(x-2)²+1」という式について考えてみましょう。
「y=a(x-p)²+q」と照らし合わせながら考えると、まずaに該当する数字は3です。
3は0より大きいので、グラフは「下に凸」の形を取ります。
続いて、pとqに該当する数字は2と1です。
pが頂点のx座標で、qが頂点のy座標なので、頂点の座標は(2,1)です。
つまり、(2,1)を頂点とした下に凸のグラフとなります。

二次関数の実践問題
では、練習問題に挑戦してみましょう。
「y=2(x-3)²+5」の関数のグラフを書いてみてください。

できましたか?
1つずつ解説していきます。
まず、基本形の「y=a(x-p)²+q」において、aにあたるのは2です。
これは、0より大きい数字なので、下に凸のグラフであることがわかります。
続いて、pとqにあたる数字ですが、こちらは3と5です。
つまり、頂点の座標は(3,5)です。
なので、グラフの形は(3,5)を頂点とした下に凸のグラフになります。
では、もう1問やってみましょう。
「y=-(x+4)²-3」の関数のグラフを書いてみてください。

できましたか?
先ほどの問題よりも少し難しかったと思いますが、同じように1つずつ解説していきます。
まず、aに該当する数字は-1です。
これは、0よりも小さい数字なので、上に凸のグラフであることがわかります。
また、pに該当する数字は、式を{x-(-4)}のように変形するとわかりやすくなります。
よって、pにあたる数字は-4であることがわかりました。
最後に、qに該当する数字は-3ですね。
従って、グラフの形は(-4,3)を頂点とした上に凸のグラフになります。
以上の2問を理解できましたか?
これが理解できれば中学で習ったものよりも複雑な二次関数のグラフを書けるようになります。
CHECK
- 二次関数の基本形は「y=a(x-p)²+q」
- aはグラフの形、p,qは頂点の座標を表す
- a>0なら下に凸、a<0なら上に凸のグラフになる
平方完成とは?
先ほどまでは、基本形である「y=a(x-p)²+q」と表される式をグラフにする方法を学習していました。
しかし、必ずしも基本形の形で問題が出題されるとは限りません。
例えば、「y=2x-4x²+1」という式が出てきたとします。
これは基本形とは異なるので、パッとみただけでは頂点の位置がわかりません。
すると、グラフを書くこともできなくなります。
-

ただ、「y=2x-4x²+1」という式を基本形に変形することができたら、頂点がわかりグラフも書けるようになります。
その変形の仕方のことを平方完成と言います。
平方完成のやり方とは?
平方完成のやり方を習得するのは、難しい部類に入ります。
なので、以下に記すやり方を、覚えやすいようにスクショを撮ったりメモを取ったりして、何回も見返せるようにしましょう。
- ①xを含む項だけ、x2の係数でくくる
- ②xの係数の半分の2乗を足し引きする
- ③平方の形を作る
- ④{}を外して、定数項を整理し、二次関数の基本形「y=a(x-p)2+q」の形を作る
平方完成の計算をする際に注意点があるので、説明を付け加えます。
2行目から3行目に行くときに、Xの前の数字a分のbだけを2分の1倍してください。
また、xをつけて、3行目に持っていってはいけません。
間違えやすい部分なので、要注意です。
では、具体例2x²-4x+5を代入してみましょう。
まずはx2の係数である2で2x²-4xをくくります。
=
続いて、xの係数である2の半分の2乗である1を{}内で足し引きして平方の形を作ります。
=
最後に{}を外して定数項を整理します。
=
=
このようになります。
1回だけではわからないと思うので、初めは見ながらでもOKなので、繰り返し練習してみてください。
平方完成の実践問題
では、練習問題に挑戦してみましょう。
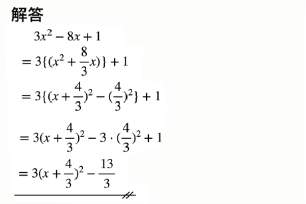
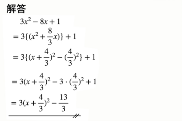
「3x²-8x+1」を平方完成してみてください。
できましたか?
解答を以下に示しておきます。

これで、頂点の座標がわからないような二次関数でもグラフを書くことができるようになりました。
そこで、もう1つ練習問題を解いてみましょう。
「y=2x²-8x+1」という関数のグラフを書いてください。
できましたか?
まずは、平方完成の過程を以下に示します。
y=2x²-8x+1
=2{(x²-4x)}+1
=2{(x-2)²-2²}+1
=2(x-2)²-2・2²+1
=2(x-2)²-7
よって、aに該当する数字が2であることから、グラフは下に凸の形になります。
また、p、qに該当する数字が、それぞれ2、-7であることから、頂点の座標は(2,-7)となります。
従って、グラフの形は(2,-7)を頂点とした下に凸のグラフになります。(下図参照)
CHECK
- 平方完成は、二次方程式を基本形に変形する方法
- 繰り返し練習しないと身につかない
- 焦らず落ち着いて計算することが大切
二次関数のおすすめ勉強法
二次関数のおすすめの勉強法は、基本を正確に理解し、焦らず落ち着いて何度も繰り返し練習することに尽きます。
特に平方完成は、その複雑な計算方法から、多くの高校生が挫折し、習得できなかった部分です。
そのため、焦ったり慌てたりするのではなく、一つずつ丁寧に理解を進めていくことで、そのやり方を頭に叩き込んでください。
そして、最初は見ながらでもいいので、繰り返し練習します。
-

なんとなくわかってきたな、と感じた頃から何も見ずに平方完成ができるようにするのが理想です。
塾・家庭教師を利用する
基礎が身についている方は上記のように問題を繰り返し解くことで成績を伸ばせますが、中には基礎的な内容が理解できずに困っている人も多いでしょう。
特に二次関数はそれ自体もとても重要ですが、多くの分野の基礎になってくるので、ここでつまずくと、高校数学全体の理解に大きな支障をきたすようになります。
少しでも不安要素がある方は、プロである塾講師 や家庭教師のサポートを受けて、確実に基礎を理解したのちに演習に取り組むとよいでしょう。
また、基礎が既に身についている方も、プロの指導を受けることで取り組むべき問題が明らかになり、今以上に成績を伸ばすことができます。
参考書を使って勉強する
数学はインプット以上にアウトプットの積み重ねが重要な科目で、基本事項を頭に入れたら、多くの問題を解くことが大切です。
二次関数も例外ではなく、本記事で紹介した公式や基本事項を理解したら、とにかく多く問題演習に取り組み、様々な解き方のバリエーションを持っておくと、受験や定期テストのときに有利に働きます。
具体的には以下の参考書の該当箇所を繰り返し行うとよいでしょう。
- 青チャート【第1章数と式】⒌ 集合 ⒍ 命題と条件 ⒎ 命題と証明
- サクシード【第1章数と式】⒑ 集合⑴ 11. 集合⑵ 12. 命題と条件⑴ 14. 命題と証明
- 4STEP【第2章集合と命題】⒈ 集合 ⒉ 命題と条件 ⒊ 命題と証明
- Legend【第2章集合と論証】⒋ 集合 ⒌ 命題と論証
特に平方完成は基礎が難しいので、習得するにもかなりの時間がかかる可能性があります。
方法を覚えていないうちは、やり方を隣に置きながら手を動かすことも大切です。
とにかく、何度も何度も繰り返し触れることで、段々と覚えていくことができます。
CHECK
- 平方完成は回数を重ねることで定着させる
- わからなければ、やり方を見ながらでも良い
- 基礎の定着にはプロのサポートを受けることがおすすめ
二次関数で「つまずく」原因と独学の限界
二次関数は、高校数学(数学I)で最初に出会う、非常に重要な単元です。
中学で習った y=ax2から急に複雑になるため、多くの生徒がここで最初の「つまずき」を経験します。
その原因は、応用問題である「場合分け」以前の、もっと基礎的な部分に隠されています。
原因1:「平行移動」の符号で混乱する
二次関数の基礎は、中学で習った y=ax2のグラフを、いかに「平行移動」させるかという考え方です。
ここで、y = a(x-p)2+qという基本形が出てきますが、多くの生徒が「x軸方向にp動かすのに、なぜ式ではx-pと符号がマイナスになるのか?」という疑問にぶつかります。
y軸方向のqは+qと直感的なのに、x軸方向だけ符号が逆になることが理解しきれず、グラフの移動や頂点を求める際に混乱してしまうのです。
原因2:「平方完成」の計算手順が複雑すぎる
二次関数の頂点を求めるために必須の「平方完成」は、計算ミスが多発する最大の関門です。
特に、x2の係数が1でない場合(例:y=2x2+12x+5)には、つまずくポイントが2段階あります。
まず 2(x2+6x)+5のように、係数の「2」でxの項までを正しく括ることができず、さらに2(x+3)2-18+5と変形する際に、括った「2」を定数項(-9)に掛け忘れる(-9のまま計算してしまう)ミスが非常に多いのです。
原因3:新しい数学用語についていけない
二次関数から、「頂点」「軸」「定義域(xの範囲)」「値域(yの範囲)」といった新しい数学用語が一気に登場します。
これらの用語が、グラフのどの部分を指し、何を意味しているのかが曖昧なままだと、問題文が何を求めているのかすら分からなくなってしまいます。
特に「定義域」という言葉の意味が理解できていないと、その後の最大値・最小値を求める問題のスタートラインにすら立てません。
独学では難しい!「分かったつもり」の危険性
これら基礎的なつまずきの独学が難しい最大の理由は、答えが合っていても「分かったつもり」になっている危険性にあります。
例えば、平方完成は答えの頂点座標が合っていても、途中の計算プロセスで符号ミスをたまたま打ち消し合っていたり、理屈を理解しないまま手順だけを暗記していたりするケースが非常に多いです。
この「なぜそうなるのか」を曖昧にした「分かったつもり」の状態を放置すると、次のステップである「場合分け」や「二次不等式」といった応用問題に全く対応できなくなり、数学全体への苦手意識に繋がってしまいます。
CHECK
- 平方完成の計算ミスに注意
- 平行移動の正負に注意
- 分かったつもりに陥らないように
数学の勉強におすすめの塾・家庭教師
ここでは、二次関数や数学を生徒の学習状況に併せて柔軟に指導してくれる塾やオンライン家庭教師を紹介します。
| 塾名 | 料金(税込) |
|---|---|
| 湘南ゼミナール | 11,100円~/月 |
| 個別教室のトライ | お見積りシミュレーション |
| オンライン数学克服塾MeTa | 非公開 |
| 家庭教師ファースト | 11,220円~/月 |
| トライオンライン | お見積りシミュレーション |
湘南ゼミナール
湘南ゼミナールの基本情報や具体的な特徴について確認していきましょう。
| 湘南ゼミナールの基本情報 | |
|---|---|
| 対象 | 小学生~高校生 |
| 授業形式 | 集団指導、個別指導 |
| 対象地域 | 神奈川、千葉、埼玉、東京 |
サポート体制が充実している
湘南ゼミナールでは各年代の生徒に合わせたサポート体制があり、授業フォローをはじめ継続して勉強を続けられるように考えられています。
学習状況を考慮してどのようなところで生徒がつまづいているのか明確にして解決しているため、苦手科目が生まれません。
また、継続して通えるように学習環境が整っており、授業がなくても利用できる自習室や全教室ホワイトボードにて指導を行うなど環境整備も行われています。
学習習慣がつくように講師も親身になってサポートしてくれるでしょう。
【2025年】湘南ゼミナールの春期講習
| 【2025年】湘南ゼミナールの春期講習 | |
|---|---|
| 対象学年 | 小学生 / 中学生 / 高校生 |
| 講習期間 | 2025/03/26~2025/04/04 ※学年・コースにより日程が異なります。 |
| 授業料 | 春期講習の料金を確認する⇒ |
| 春期講習の ポイント |
春期講習 + 4月授業料無料体験 |
| 展開地域 | 神奈川県・千葉県・埼玉県・東京都 詳しい校舎情報はこちら⇒ |
| お問い合わせ | 春期講習のお問い合わせはこちら⇒ |
※対象学年は新小学4年生~新高校3年生(現小3〜現高2)
湘南ゼミナールはトップ校合格に強い学習塾であり、合格逆算プログラムと高い講師力で多数の生徒を志望校合格に導いています。
そんな湘南ゼミナールの春期講習のポイントは、以下の通りです。
- 新学年の先取り学習で最高のスタートダッシュ
- 「合格逆算カリキュラム」による戦略的指導
- 授業前後の手厚いフォローアップ体制
湘南ゼミナールでは、新学年の内容をいち早く学習する先取りカリキュラムを採用しており、学校の授業が本格化する前に基礎を固めることができます。
また、特定の地域での校舎展開を活かし、近隣中学校の傾向を熟知した講師陣が、新学年最初の定期テストを見据えた指導を行います。
そして、授業前後に丁寧な個別サポートを行うことで、生徒の「分からない」を解消し、新しい学年への自信を育みます。
湘南ゼミナールへの入会を検討している方は、まずは大変お得な無料体験から受講してみてはいかがでしょうか。
湘南ゼミナールの春期講習の料金・費用
| 湘南ゼミナールの春期講習の料金 | |
|---|---|
| 入会金 | 16,500円(税込) ※キャンペーン適用で無料になる場合があります |
| 【春期講習】授業料 | 春期講習の料金詳細を確認する⇒ |
湘南ゼミナールの入会金は16,500円(税込)となっています。
また、湘南ゼミナールの春期講習では、
なお、本キャンペーンには定員がございますので、新年度からの通塾をご検討されている方は是非お早めにお申し込み下さい。
湘南ゼミナールの春期講習へのお申し込みは、春期講習お申し込みフォームより行なってください。
※教材費等が別途かかる場合がございます。詳細は各校舎へご確認ください。
湘南ゼミナールの春期講習コース
湘南ゼミナールでは、新小学生~新高校生を対象に春期講習を実施しています。
湘南ゼミナールの春期講習のコースは以下の通りです。
| 湘南ゼミナールのコース | |
|---|---|
| 高校生 高校生コースの詳細を確認する⇒ |
大学現役合格対策 / 定期テスト対策 |
| 新高1準備講座(中学復習と高校先取り) | |
| 高校生の個別指導 | |
| 中学生 中学生コースの詳細を確認する⇒ |
高校受験対策 / 内申点アップ対策 |
| 横浜翠嵐・難関国私立高 受験指導 | |
| パワーアップ補習(重要単元の復習) | |
| 小学生 小学生コースの詳細を確認する⇒ |
基礎学力定着 / 中学進学準備 |
| 公立中高一貫校受検対策 | |
| 小学生の個別指導 | |
上記はコースの一部を抜粋しております。
小学生コースに関しては、算数・国語の基礎固めに加え、英語の早期学習や中高一貫校への受検対策も提供しています。
中学生コースでは、主要5教科の対策はもちろん、志望校のレベルに合わせたクラス編成で、切磋琢磨しながら学力を伸ばせるのが強みです。
高校生コースでは、新学年の好スタートを切るための映像授業や対面授業を組み合わせて、効率的な学習習慣を身につけます。
また、全学年共通して、春休み期間中に前学年の弱点克服を行うカリキュラムも用意されています。
学年ごとのコース情報の詳細が気になる方は、ぜひお気軽に「資料請求」から確認してみてください。
湘南ゼミナールの春期講習の申込の流れ
- 春期講習お問い合わせフォームへ
- 必要情報の記入
- 希望の教室を選択して送信!
湘南ゼミナールの春期講習の申込の流れは上記の通りとなっています。
お問い合わせフォームにアクセスし、希望する学年や校舎などの必要情報の入力を行ないます。
送信完了後、校舎担当者より学習相談や今後の日程についてのご案内を差し上げます。
各学年の目的に合わせたコース
湘南ゼミナールは各学年ごとに以下の種類のコースが設けられています。
- 小中部 (集団授業)
- 個別指導コース
- 公立中高一貫コース
- 難関高受験コース
- 横浜翠嵐Vコース
- 高等部
基本的には集団指導にて勉強を行いますが、コースによっては個別指導によって受けることが可能です。
個別指導では独自の学習サイクルの元、生徒個人に合わせた勉強をピンポイントで行えるでしょう。
また、受験対策に特化したコースもあるため、受験に特化して勉強したいならおすすめです。
湘南ゼミナールの料金
湘南ゼミナールの中高生の料金は次のようになっています。
| 学年 | 科目数 | 科目 | 通塾回数 | 授業料(税込) |
|---|---|---|---|---|
| 中1 | 3 | 英語 数学 国語 |
週2回 | 16,800円~ |
| 中2 | 5 | 英語 数学 国語 理科 社会 |
週3回 | 22,800円~ |
| 中3 | 5 | 英語 数学 国語 理科 社会 |
週3回 | 25,200円~ |
| 高1〜3 | 1 | 問い合わせ | 週3、4回 | 11,100円~ 詳細はこちら⇒ |
この料金表は、臨海セミナーの学年別・コース別の月謝を示しています。
中学1年生から3年生にかけて、高校受験を見据えて受講科目数と通塾回数が増えるのに伴い、授業料が段階的に上がっていくのが分かります。
高校生の料金は1科目からの選択制となっており、ご自身の志望校や学習状況に合わせて柔軟に講座を組める体系です。
湘南ゼミナールの口コミ・評判
湘南ゼミナールで学んだ経験は、私にとって大きな変化をもたらしました。
数学では、最初に問題を解く際にどこで間違えているのかが分からず、悩んでいました。
湘南ゼミナールでは、基礎からしっかりと教えてもらい、私のペースに合わせた指導がとても役立ちました。
数学では、問題解決の手順を一つ一つ理解し、繰り返し練習することで、応用問題も解けるようになりました。
この口コミは、湘南ゼミナールの指導が、つまずきの根本原因を解決するのにいかに効果的であったかを伝えています。
生徒自身のペースに合わせた指導で基礎からしっかり学び直し、「解法の手順」を一つひとつ理解していくことで、応用問題にも対応できる本物の学力が身についたようです。
なぜ間違えるのか分からなかった状態から、自信を持って問題を解けるようになったという、大きな成長がうかがえます。
最初の面談の際には、学校の部活や行事と両立出来るようにきちんとスケジュールを組んでもらえましたし、何かあっても直ぐ相談でき親身になり聞いてもらえるので、サポート体制が整っているのは保護者としても安心できる部分が多かったです。
また、もちろん子供に対しても寄り添いながら熱意のある指導をしてもらえましたし、子供の授業が終わり帰る際には毎回メールが届いていたので、こういったサービスも大変有り難かったです。
こちらは、湘南ゼミナールの手厚いサポート体制を、保護者の視点から高く評価している口コミです。
部活動と両立できる柔軟なスケジュール調整や、親身な相談対応が、保護者の大きな安心感に繋がっています。
生徒への熱意ある指導に加え、帰宅時のメール通知といった細やかなサービスも、塾への信頼を高める重要なポイントとなっているようです。
1ヶ月無料体験実施中
湘南ゼミナールでは1ヶ月無料体験を受付中です。
無料体験の概要は以下の通りです。
| 【定員あり】1ヶ月無料体験の概要 | |
|---|---|
| 対象学年 | 小学生~高校生 |
| 体験費用 | 1ヶ月授業料無料 |
| 対象校舎 | 全校舎 |
湘南ゼミナールは、湘南ゼミナールの授業を受けるのが初めての方を対象に、1ヶ月無料体験を実施中です。
トップ校の受験に強い湘南ゼミナールの集団授業を実際に1ヶ月も無料で受講できるとで、とてもお得なキャンペーンであることが分かります。
またトップ校の受験対策だけではなく、学校別の定期テスト対策にも長けていて、過去のデータを分析しながら、定期テストの点数アップも目指すことができます。
実施講座については下記で詳しくご説明します。
湘南ゼミナールの講座について
湘南ゼミナールの講座の一例は以下の通りです。
| 受講講座例 | |
|---|---|
| 小学生コース 講座を詳しく見る⇒ |
学力アップ/公立中進学準備 |
| 公立中高一貫校受検対策 | |
| 小学生の英語力育成 | |
| 小学生の国語力育成 | |
| 中学生コース 講座を詳しく見る⇒ |
高校受験/定期テスト対策 |
| 横浜翠嵐・御三家等 受験指導 | |
| 難関国私立高 受験指導 | |
| 高校生コース 講座を詳しく見る⇒ |
一般入試対策 / 定期テスト対策 |
| 総合型選抜(AO)/推薦入試対策 | |
湘南ゼミナールは集団指導ですが、個別指導のように、生徒に対して個々に対応する時間も設けていて、授業で分からない部分があっても、質問することができます。
今受付中の1ヶ月授業料無料の無料体験を通して、ぜひ湘南ゼミナールの授業を実際に体験してみてください。
今お問い合わせをすると、お問い合わせをした方全員に、定期テストで出題されやすい問題のみを抜粋したオリジナル問題集をプレゼント中です。
無料体験はまだ考えていない方でも資料請求から、問題集を受け取ることができるので、お気軽にお問い合わせください。
二次関数を勉強するなら「個別教室のトライ」

二次関数を勉強するなら「個別教室のトライ」がおすすめです。
| 対象 | 小学生・中学生・高校生 |
|---|---|
| 授業形式 | 1対1の個別指導 |
| 校舎 | 全国約650教室 |
| 特徴 | 厳選されプロ講師陣による全国No.1の個別指導塾 |
なぜおすすめなのか、その理由を2つご紹介します。
双方向の授業で確実に身につける
個別教室のトライでは、双方向の授業を行っています。
通常では、先生が生徒に対して説明し、説明し終えたらすぐに問題演習に取り掛かります。
しかし、トライでは先生による説明の後に、生徒による説明の時間も設けられています。
生徒が自ら説明することで、わかっている部分とそうでない部分を見分けることができ、苦手な分野がはっきりとわかります。
そのため、苦手分野を早期に克服することにつながり、確実に内容を身につけることができるようになります。
毎回の授業で反復をする「エピソード反復法」
個別教室のトライでは、エピソード反復法という復習方法を導入しています。
エビングハウス博士による研究をもとに、毎回の授業で今までに習ったことを確認していきます。
その際に、ただ単純に記憶・復習をするのではなく、対話の中で生まれるエピソードに紐づけて記憶できるようにしています。
エピソード反復法を行うことで、より効率的に記憶をすることができます。
個別教室のトライのコース・料金
| 個別教室のトライの料金 | |
|---|---|
| 入会金 | 11,000円(税込) |
| 授業料 | お見積りシミュレーション |
個別教室のトライの料金は、初回に必要な11,000円(税込)の入会金と、月々の授業料で構成されています。
授業料が非公開となっているのは、生徒一人ひとりの目標や学力に合わせて、最適なオーダーメイドのカリキュラムを組むためです。
ご自身の状況に合わせた正確な月謝を知るためには、公式サイトのお見積りシミュレーションを利用するか、直接校舎へ相談するのが最も確実な方法です。
個別教室のトライの口コミ・評判
息子はもともと算数が苦手で、授業についていくのが難しいと感じていましたが、トライに通い始めてから自信をつけるようになったと感じます。
まず、個別指導の魅力は先生が一人ひとりの学力や学習スタイルに合わせて教えてくれること。
うちの息子の場合、基礎をしっかりと理解できるように丁寧に教えてもらえるため、授業の内容がより身近に感じられるようになったようです。
全体的に「個別教室のトライ」はただ勉強を教えるだけでなく、子どもが学ぶ楽しさを見つけ、やる気を引き出してくれる環境だと感じています。
この口コミは、算数が苦手だったお子さまが、トライの個別指導を通じて学ぶ楽しさと自信を取り戻していく様子を具体的に伝えています。
先生がお子さまの興味や学習スタイルに合わせて指導を工夫してくれるため、勉強嫌いだったお子さまが「授業が楽しかった!」と笑顔で帰ってくるようになったようです。
独自の教材やオンラインでのサポート、講師との密なコミュニケーションも、保護者の安心感に繋がっています。
個別講師のトライで良かった所は、高品質なマンツーマン教育を受けることができる所でありました。
また、昔から家庭教師のトライは有名であり、私が学生時代の頃から馴染みのある老舗と言う形で、英会話を子供に学ばせるためであれば、誰しもが知っている名前であると思える所でした。
教育業界大手であるからこその申し分のない実績力と、高品質な授業を個別で受講できる所が最高であると思える部分でありました。
学習サポートも手厚いので万人におすすめできます。
この口コミは、「家庭教師のトライ」時代から続く、教育業界の大手としての絶大な信頼感を伝えています。
その「申し分のない実績力」が、高品質なマンツーマン指導の保証になっていると感じているようです。
学習サポートの手厚さも含め、老舗ならではの安心感が、万人におすすめできるという高い評価に繋がっています。
オンライン数学克服塾MeTa

| オンライン数学克服塾MeTaの基本情報 | |
|---|---|
| 対象 | 中学生・高校生 |
| 授業形式 | オンライン(個別1対1、集団) 詳しくはこちら⇒ |
| 対象地域 | 全国 |
| 特徴 | 数学克服・対策に特化したオンライン専門塾 |
論理的思考力を磨く独自の指導法
MeTaでは、ソクラテスが実践していた問答法を教育の場で応用した「ソクラテスメソッド」を指導に取り入れています。
この指導の特徴は、講師の質問に生徒が繰り返し答えていくことで、徐々に解答に近づいていく点にあります。
言い換えれば、講師との対話を通して正しい解答のプロセスを学べる指導法なので、論理的思考力が身に付き、様々な応用問題にも対応できるようになります。
特に二次関数は、応用問題や他の分野との融合問題が定期テスト・入試ともに頻出なので、ソクラテスメソッドを用いて二次関数の原理・原則を理解することで、飛躍的に成績を伸ばすことができます。
目標や理解度に応じた3つコース
生徒の理解度や目標に合わせて、3つのコースが用意されています。
- ライトコース
- スタンダードコース
- プレミアムコース
スタンダードコースは週1回の演習指導を行うコースで、定期テスト対策をしたい方や、他の学習塾と併用しながら数学の演習量を増やしたい方におすすめです。
スタンダードコースは演習指導に加えて、週1回のマンツーマン指導がつくので、数学が苦手な方や、受験対策をしたい方に最適です。
最後のプレミアムコースは、上記のスタンダードコースを3か月に凝縮した、超短期集中型コースになっています。
このように、苦手分野の克服・定期テスト対策・受験指導と、生徒が抱える数学に関する悩み全てに対応できるコース設計になっています。
MeTaの料金
MeTaの料金は、公式サイトなどでは公開されていません。
これは、生徒一人ひとりの現在の学力レベル、志望校、そして数学の苦手な単元に合わせて、学習計画や指導内容を完全にオーダーメイドで作成するため、一律の料金設定がないからです。
料金は、必要な指導時間やサポート内容に応じた月謝制が基本となると考えられますが、詳細な費用や入会金については、まず無料カウンセリングに申し込み、学習相談を行った上で個別に見積もりを出してもらう必要があります。
MeTaの口コミ・評判
数学の指導はもちろんでしたが、他にも参考書や問題集など日頃の勉強におすすめのものを紹介し、更には学習の仕方までをアドバイスしてもらえていたので、様々なサポートをしていただけとても助かりました。
また、元々が数学に特化されていて苦手な生徒の為のスクールだったので、子供も変に苦手な事を恥ずかしがらず学習に集中出来ましたし、講師の方にも優しく褒めながら指導してもらえていたので、本人にも自信になったようで成果含め非常に良かったです。
この口コミは、MeTaが単なる数学指導に留まらず、参考書選びや学習法のアドバイスまで幅広くサポートしてくれる点を高く評価しています。
「数学に特化した苦手な生徒のためのスクール」という環境が、お子さまが恥ずかしがらずに学習に集中できる雰囲気を提供していたようです。
優しく褒めながら指導してくれるスタイルが、お子さまの自信と成果に繋がり、親子共に大変満足されていることが分かります。
理数系に進学したい息子の為に、高校数学専門塾MeTaさんに指導をお願いする事に決めました。
マンツーマン形式の指導できめ細やかなヒアリングを常にして下さいますので、苦手な箇所をとても効率的に勉強する事が出来ていると感じており、感謝しています。
一か月ごとに学習計画が見直しされ、効率的に学習をサポートして頂きました。
無料体験授業もさせていただけるのでまず、子供との相性をみてから判断できるところも良かったです。
こちらは、MeTaの「高校数学専門塾」という高い専門性が、理数系進学という明確な目標に合致した方の口コミです。
マンツーマン指導によるきめ細やかなヒアリングと、月ごとに行われる学習計画の見直しが、効率的な苦手克服に繋がっていると感じています。
入塾前に無料体験授業でお子さまとの相性を判断できた点も、安心してスタートできる重要なポイントだったようです。
家庭教師ファースト
| 家庭教師ファーストの基本情報 | |
|---|---|
| 対象 | 小学生、中学生、高校生 |
| 授業形式 | 個別指導 |
| 対象地域 | 全国 |
| 特徴 | オーダーメイドの段階別指導 |
オーダーメイドの段階別指導
家庭教師ファーストのマンツーマン指導では、生徒のつまづきの原因を突き止めて解決策を考えます。
数学に苦手意識がある生徒でも、分からない単元まで戻るさかのぼり学習や日々の学習習慣づけなど、一人ひとりに合わせた段階別指導を行うので安心です。
目的に応じた9つのコース
家庭教師ファーストは学年、目的に応じた9つのコースがあります。
- 小学生コース
- 中学生コース
- 高校生コース
- プロ家庭教師コース
- 不登校サポートコース
- 発達障害コース
- 資格・検定コース
- 文武両道コース
- 有名大学プレミアムコース
学年に応じた小学生・中学生・高校生コースでは、自分の希望や学習状況に合わせた指導が受けられます。
集団指導が難しい不登校や発達障害のお子さんでも、生徒に合わせた指導を自宅で受けられるのでリラックスしやすいです。
また、勉強以外にも運動も教えてもらえる文武両道コースや有名大学出身で勉強のやり方を極めた講師から指導が受けられる有名大学プレミアムコースもあります。
家庭教師ファーストの料金
家庭教師ファーストの中学生向けの料金は次のようになっています。
| コース名 | 60分×月4回 | 90分×月4回 | 120分×月4回 |
|---|---|---|---|
| 補習 | 11,220円 | 16,720円 | 22,220円 |
| ベースUP | 17,600円 | 26,400円 | 35,200円 |
| 英検B≪準2級以上≫ | 19,800円 | 29,700円 | 39,600円 |
| プレミアム 不登校/発達障害 |
22,000円 | 33,000円 | 44,000円 |
| プロ≪スタンダード≫ | 28,600円 | 42,900円 | 57,200円 |
| プロ≪アドバンス≫ | 35,200円 | 52,800円 | 70,400円 |
| 医学部受験トッププロ | 52,800円 | 79,200円 | 105,600円 |
家庭教師ファーストの高校生向けの料金は次のようになっています。
| コース名 | 60分×月4回 | 90分×月4回 | 120分×月4回 |
|---|---|---|---|
| 補習 | 11,220円 | 16,720円 | 22,220円 |
| ベースUP | 17,600円 | 26,400円 | 35,200円 |
| 英検B≪準2級以上≫ | 19,800円 | 29,700円 | 39,600円 |
| プレミアム 不登校/発達障害 |
22,000円 | 33,000円 | 44,000円 |
| プロ≪スタンダード≫ | 28,600円 | 42,900円 | 57,200円 |
| プロ≪アドバンス≫ | 35,200円 | 52,800円 | 70,400円 |
| 医学部受験トッププロ | 52,800円 | 79,200円 | 105,600円 |
このように、他の家庭教師と比べてもリーズナブルな値段であることがわかります。
他にも、小学生コースの料金やオンライン指導コースの料金が公表されています。
家庭教師ファーストの口コミ・評判
娘は中々物事が続かなく今回の家庭教師ファーストも続かないのかなと思っていましたが、お子さん一人一人の学力や性格にあった講師による指導をしていると聞いて安心しました。
実際に本当にその通り、で娘にあった性格にあった勉強を提供していただいていて助かっています。
これを機に娘も楽しく勉強に向き合ってくれたら嬉しいことだなと思いました。
受講生でも通常料金で指導が受けられることなどが本当に便利だなと思いました。
この口コミは、物事が長続きしなかったお子さまが、家庭教師ファーストの指導は継続できていることに安堵している保護者の方の声です。
お子さま一人ひとりの学力だけでなく、性格にまで合わせて講師を選んでくれる点が、楽しく勉強に向き合うきっかけとなったようです。
受講生(ご兄弟など)も通常料金で指導が受けられるといった、柔軟で利用しやすいシステムにも便利さを感じています。
入会する前には無料体験を受けましたが、その際には講師の方の質はもちろん教材の多さや、柔軟性のある指導に魅力を感じました。
そして、実際に入会してもやはり教材が多いので、暫く続けていても子供が飽きるといった事がなかったですし、モチベーションを保つ事ができていたので、環境はとても良かったと思います。
ただ、途中で講師の方が変わられたので、子供とも相性が良かった分残念に感じましたし、こちらではなく講師の方のスケジュールに合わせなくてはいけないような体制だったので、その点は不便でした。
こちらは、無料体験で感じた、豊富な教材や指導の柔軟性に魅力を感じて入会された方の口コミです。
教材の多さがお子さまの学習意欲を飽きさせず、モチベーション維持に繋がっている点は高く評価しています。
一方で、途中で講師が交代になった点や、スケジュール調整が講師都合になりがちだった点には不便さを感じており、講師との相性やスケジュールの柔軟性が満足度を左右するようです。
トライオンライン

| トライのオンライン個別指導塾の基本情報 | |
|---|---|
| 授業形態 | 個別指導 |
| 対象学年 | 小学生~高校生 |
| 展開地域 | 全国各地 |
完全マンツーマンだからわかるまで指導してくれる
トライのオンライン個別指導塾は完全マンツーマン制なので、つまずきポイントをその場で見つけて、わかるまで丁寧に戻り学習ができます。
授業は「解説を聞いて終わり」ではなく、対話しながら進むスタイルのため、集中が途切れにくいのも特徴です。
さらに、学んだ内容を生徒自身が説明し返す「ダイアログ学習法」を取り入れており、「わかったつもり」を防いで理解を定着させやすくなります。
オンラインだからこそ、地域に関係なく全国の登録講師から相性の良い先生を選びやすい点も魅力です。
学習の計画から先生の相談まで教育プランナーが寄り添う
トライは、正社員の教育プランナーがつき、学習計画の作成や進路相談などをトータルでサポートします。
「先生には言いづらい要望」や「授業の進め方の不安」も、教育プランナーが間に入って調整してくれるため、保護者側の負担も抑えやすいです。
部活や習い事が忙しい時期も、スケジュールを相談しながら無理のない学習ペースを作りやすいのが強みです。
トライのオンライン個別指導塾の料金・授業料
トライのオンライン個別指導塾の料金は、以下の通りです。
| トライのオンライン個別指導塾の授業料 | |
|---|---|
| 入会金 | 11,000円(税込) |
| 授業料 | お見積りシミュレーション |
トライのオンライン個別指導塾は、1人1人学習プランを作成するため料金が異なってきます。
授業料(月謝)の例としては以下の通りです。
| 学年 | 料金 |
|---|---|
| 高校生 | 1コマ60分×月4回 21,120円〜(税込) |
| 中学生 | 1コマ60分×月4回 17,600円〜(税込) |
| 小学生 | 1コマ60分×月4回 14,960円〜(税込) |
料金については、公式サイトから簡単30秒で料金の確認をすることが可能です。
気になる方はぜひお見積りシミュレーションより料金を確認してみてください。
トライのオンライン個別指導塾の公式サイトから簡単に確認することができます。
トライのオンライン個別指導塾のコース
トライのオンライン個別指導塾のコースをご紹介します。
トライのオンライン個別指導塾の高校生向けのコースは、以下の通りです。
- 大学受験対策
- 定期テスト・内申点対策
- 総合型・学校推薦型選抜対策
- 英語資格検定対策
- 内部進学対策
トライのオンライン個別指導塾は、様々なコースプランをご用意しています。
他にも部活との両立サポートや不登校の学生サポート、難関大学受験対策や小論文や面接を集中的に対策するプランなど、一人一人に合わせた学習プランで結果を出します。
上記以外にも色々な目的やニーズに合わせたコースがあるため、自分に合ったコースを選びましょう。
自分に合わせた学習プランを提案できるので、気になる方はぜひ公式サイトからご相談してみてはいかがでしょうか
また、トライのオンライン個別指導塾の2024年度入試の合格実績は、以下の通りです。
| 2024年度入試 合格実績 | |||
|---|---|---|---|
| 東京大 | 京都大 | 北海道大 | 東北大 |
| 名古屋大 | 大阪大 | 九州大 | 一橋大 |
| 東京工大 | 神戸大 | 金沢大 | 広島大 |
| 早稲田大 | 慶応大 | 上智大 | 東京理科大 |
| 国際基督教大 | 明治大 | 青山学院大 | 立教大 |
| 中央大 | 法政大 | 学習院大 | 関西大 |
| 関西学院大 | 同志社大 | 立命館大 | 他多数 |
※家庭教師のトライ・個別教室のトライ・トライプラス・トライ式高等学院・トライのオンライン個別指導塾の利用者のうち、2024年度大学入試合格者の合計。
国公立から私立の大学まで多くの合格者がいます。
2024年度の合格者数は、16,851名ととても多くの人数が合格しています。
中学生向けのコースプランは、以下の通りです。
- 公立・私立高校受験対策
- 定期テスト・内申点対策
- 中高一貫校サポート
- 苦手科目克服
トライのオンライン個別指導塾では、様々なプランが用意されています。
お子さまの学習進歩に合わせて、徹底的なサポートを行います。
お子さまに合わせた学習プランを提案できるので、気になる方はぜひ公式サイトからご相談してみてはいかがでしょうか
2024年度の入試の合格実績は、以下の通りです。
| 2024年度入試 合格実績 | |||
|---|---|---|---|
| 灘高 | 開成高 | 渋谷幕張高 | 洛南高 |
| 愛光高 | 土浦一高 | 宇都宮高 | 宇都宮女子高 |
| 天王寺高 | 三国丘高 | 西京高 | 神戸高 |
| 慶応義塾高 | 慶應志木高 | 早大学院高 | 早稲田実業高 |
※家庭教師のトライ・個別教室のトライ・トライプラス・トライ式高等学院・トライのオンライン個別指導塾の利用者のうち、2024年度大学入試合格者の合計。
2024年度の高校入試の合格実績は、上記の通りです。
2024年の合格者数は、19,752名ととても多くの合格実績があります。
小学生向けのコースは、以下の通りです。
- 中学受験対策
- 学習基礎固め・学習習慣の定着
- 算数・英語対策
- 中学学習の先取
トライのオンライン個別指導塾では、中学受験に向けた対策や中学学習の先取りをすることが可能です。
また、他にも学習の基礎を固めたり算数や英語の対策までできます。
お子さまに合わせた学習プランを提案できるので、気になる方はぜひ公式サイトからご相談してみてはいかがでしょうか
2024年度の入試合格実績は、以下の通りです。
| 2024年度入試 合格実績 | |||
|---|---|---|---|
| 開成中 | 桜蔭中 | 広尾学園中 | 慶應義塾中等部 |
| 早稲田実業中 | 大阪星光学院中 | 神戸女学院中 | 西大和学園中 |
| 洛南高校附属中 | 同志社中 | 東海中 | 北嶺中 |
※家庭教師のトライ・個別教室のトライ・トライプラス・トライ式高等学院・トライのオンライン個別指導塾の利用者のうち、2024年度大学入試合格者の合計。
上記以外にも多くの中学校の合格実績があります。
詳しい情報は、公式サイトからチェックしてみてください。
トライのオンライン個別指導塾の無料学習相談
トライのオンライン個別指導塾は、無料学習相談を実施しています。
初めてオンライン個別指導を検討している方やカリキュラムや料金について気になる方は、まずは無料学習相談から受けることをおすすめします。
トライのオンライン個別指導塾のご利用の流れは、以下の通りです。
- 公式サイトよりお申込み
- 無料学習相談
- 担当講師の決定
- 受講スタート
機材の準備が不安な方でも丁寧にサポートしますので、安心して受講することが出来ます。
以下の公式サイトからお申し込みください。
まとめ
今回は、高校で習う二次関数について解説しました。
基本形という新しい形や、平方完成という複雑な計算方法など、新しく学んだことがたくさんあります。
特に平方完成は難しいので、記事内でご紹介した参考書や塾・家庭教師を利用して、何度も復習して定着させてください。
どんな問題が来ても対応できるとテストでの点数も向上します。
【初心者でもわかる】この記事のまとめ
「二次関数」に関してよくある質問を集めました。
高校で学習する二次関数の式とは?
基本形と呼ばれる「y=a(x-p)²+q」という式で表されることが多くなります。中学で習った内容を基礎として、どんどん発展した内容を扱います。やや難しい分野ですが、基本を押さえれば必ず習得できます。二次関数の式の詳細はこちらを参考にしてください。
二次関数の頂点を求めるにはどうすればよい?
二次関数の頂点を求めるには、与えられた式を平方完成し、基本形に変形させる必要があります。平方完成は、高校数学の最初の壁としても知られているほど複雑な計算が求められるため、焦らず落ち着いて一つずつ理解していく姿勢が大切です。二次関数の頂点についてはこちらを参考にしてください。
StudySearchでは、塾・予備校・家庭教師探しをテーマに塾の探し方や勉強方法について情報発信をしています。
StudySearch編集部が企画・執筆した他の記事はこちら→
塾・予備校に関する新着コラム
-
オンライン数学専門塾ReKai(リカイ)とは?料金や特徴...本記事では、オンライン数学専門塾ReKaiの気になる料金や特徴について解説しています。オンライン数学専門塾ReKaiが向いている人の特徴や数学が得意になる秘密ま...
-
オンライン英語専門塾OUTCOMEとは?料金や口コミにつ...本記事では、オンライン英語専門塾OUTCOMEの気になる料金や口コミについて解説しています。カリキュラムの特徴や入塾までの流れについても紹介しているので、利用を...
-
じゅけラボ予備校とは?コース・料金・口コミ・特徴について...本記事では、じゅけラボ予備校の料金や口コミについて徹底解説しています。予備校でありながら低コストで受験サポートが受けれるので、予備校を検討されている方は是非参考...
-
小学生の春期講習でおすすめの塾を5選紹介!料金・費用や口...小学生の春期講習におすすめの塾を5校紹介しています。キャンペーン情報なども記載しているので春休みに塾を選ぶ際の参考にしてみてください。
塾・予備校に関する人気のコラム
-
【2026年最新版】料金(授業料/月謝)が安い塾ランキン...「塾に行きたいけど料金が気になる」「なるべく安く勉強を教えてほしい」そんな悩みをお持ちのご家庭は多いと思います。今回は料金が安い、かつ評判が高い塾を紹介します。
-
【2026年最新版】塾の費用|平均費用(料金)や月謝や教...学習塾にかかる費用を個別指導、集団指導それぞれ平均費用や、月謝相場、季節講習、などについて徹底解説!小学生や中学生や高校生の塾をお探しの方は是非参考にして下さい...
-
【2026年】予備校の年間の費用(授業料・入学金)は?浪...予備校には1年でどれくらいの費用がかかるのでしょうか。今回は、予備校や塾の料金の相場について詳しく説明していきます。受験を控えた浪人生、現役生の方は必見です!
-
個別教室のトライ|実際の授業料や料金を調査!口コミやコー...今回は個別指導のトライの料金(授業料・月謝)や評判・口コミ、トライが選ばれている理由。知らないと損な期間限定のキャンペーンや講習会の情報、講師や教材まで詳しく紹...

